Предмет: Математика,
автор: pakiren78
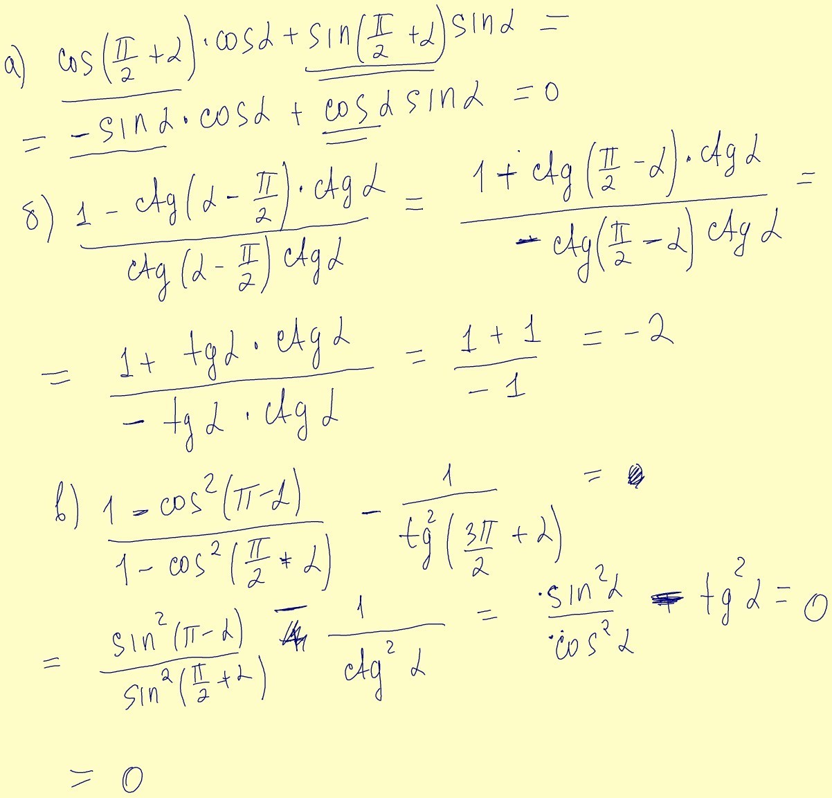
Докажите тождества:
a) cos(π/2+α)*cos α+sin(π/2+α)*sin α=0
б) 1-ctg(α-π/2)ctg α/ctg(α-π/2)ctgα
в) 1-cos²(π-α)/1-cos²(π/2+α)-1/tg²(3π/2+α)=0
Ответы
Автор ответа:
0
Докажите тождества:
a) cos(π/2+α)*cos α+sin(π/2+α)*sin α=0
cos(π/2+α)*cos α+sin(π/2+α)*sin α=cos(π/2+α- α)=cos(π/2)=0
б) 1-ctg(α-π/2)ctg α/(ctg(α-π/2)ctgα)=??
1+tg(α)ctg α/(-tg(α)ctgα=1-1=0
в) 1-cos²(π-α)/1-cos²(π/2+α)-1/tg²(3π/2+α)=0
И В ЭТОМ ПРИМЕРЕ НЕ ПОНЯТНО ЧТО ГДЕ...
если так...
[1-cos²(π-α)]/[1-cos²(π/2+α)]-1/tg²(3π/2+α)=0
[1-cos²(α)]/[1-sin²α]-1/ctg²α=tg²α-tg²α=0
a) cos(π/2+α)*cos α+sin(π/2+α)*sin α=0
cos(π/2+α)*cos α+sin(π/2+α)*sin α=cos(π/2+α- α)=cos(π/2)=0
б) 1-ctg(α-π/2)ctg α/(ctg(α-π/2)ctgα)=??
1+tg(α)ctg α/(-tg(α)ctgα=1-1=0
в) 1-cos²(π-α)/1-cos²(π/2+α)-1/tg²(3π/2+α)=0
И В ЭТОМ ПРИМЕРЕ НЕ ПОНЯТНО ЧТО ГДЕ...
если так...
[1-cos²(π-α)]/[1-cos²(π/2+α)]-1/tg²(3π/2+α)=0
[1-cos²(α)]/[1-sin²α]-1/ctg²α=tg²α-tg²α=0
Автор ответа:
0
В картинке ответ
Приложения:
Похожие вопросы
Предмет: Математика,
автор: elenavoroncova200837
Предмет: История,
автор: Ульночка13
Предмет: Математика,
автор: egorkabaskakov97
Предмет: Литература,
автор: ls7771
Предмет: Химия,
автор: Pan548