Предмет: Алгебра,
автор: COOLHANDS
#22 28 30 Помогите решить!!!!) Пожалуйста
Приложения:
Ответы
Автор ответа:
0
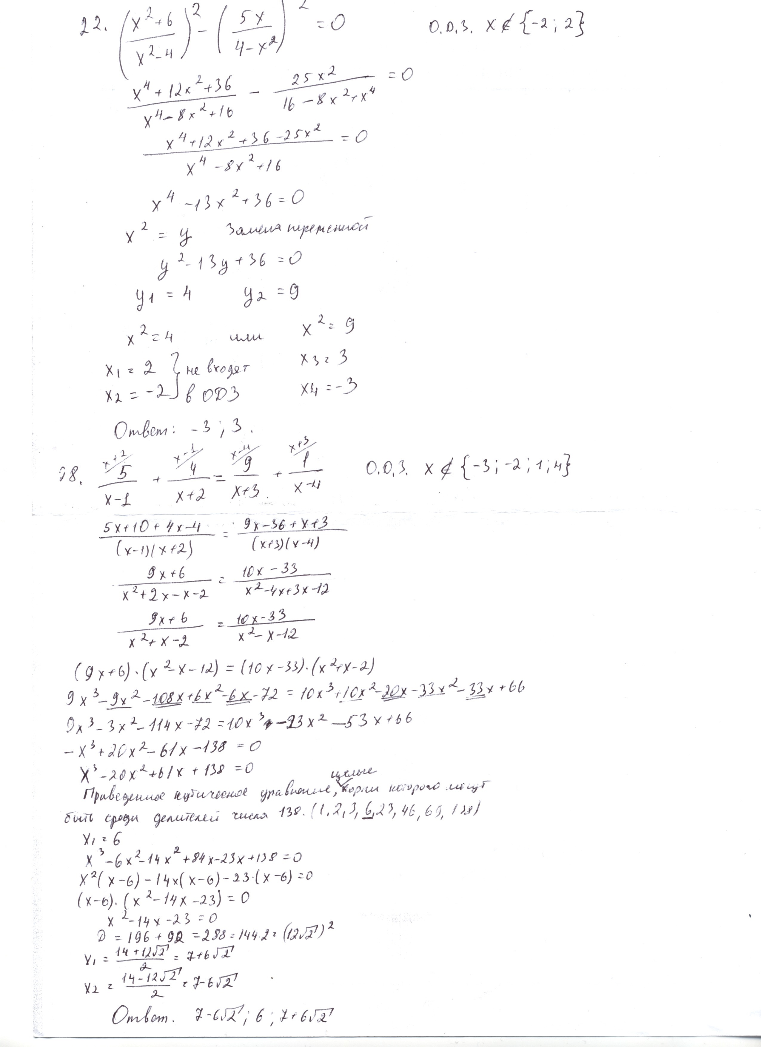
22.
( (x²+6)/(x² -4) )² -( (5x/(4-x²) ) =0 ; * * * (-A)² =A² * * *
( (x²+6)/(x² -4) )² -( (5x/(x² -4) ) =0 ;
( (x²+6)² - (5x)² ) / (x² -4)² =0 ; ОДЗ : x ≠ ±2 .
(x²+6)² - (5x)² =0 ⇔ (x²+6 - 5x)((x²+6 + 5x) =0 ⇔
[ x² - 5x+6 =0 ; x² + 5x+6 = 0 ⇔[ x =2 ; x=3; x = -2 . x= -3 . ⇒ x = ±3 .
* * *x = ±2 ∉ ОДЗ * * *
ответ : ±3 .
------------
28.
5/(x - 1) +4/(x+2) =9/(x+3) +1/(x - 4) ; * * * ОДЗ : x ≠ -3 ; -2 ; 1 ; 4 * * *
(5/(x - 1) -5.(x+3) ) + ( 4/(x+2) -4/(x+3) ) = 1/(x-4) ;
20/(x -1)(x+3) + 4/(x+2)(x+3) = 1/(x-4) ;
(20x+40+4x -4) /(x-1)(x+2)(x+3) =1(x-4) ;
(24x+36)(x-4) =(x -1)(x+2)(x+3) * * * (x -1)(x²+5x+6) =x³ +4x²+x-6 * * *
24x² -60x -144 =x³ +4x²+x-6 ;
x³ -20x² +61x +138 =0 ;
x₀ =6 корень (делитель свободного члена_138)
x³ -6x² -14x² +84x -23x +138=0 ;
x²(x-6) -14x(x - 6) -23(x-6) =0 ;
(x - 6)(x² -14x-23) =0 ; * * * x₀ =6 * * *
x² -14x -23 =0 ; D/4 =(14/2)² -(-23) =49+23 =72 =(6√2)² ;
x₁ =7 - 6√2 ;
x₂ =7+ 6√2.
ответ : { 7 - 6√2 ; 6 ;7+ 6√2 }
------------
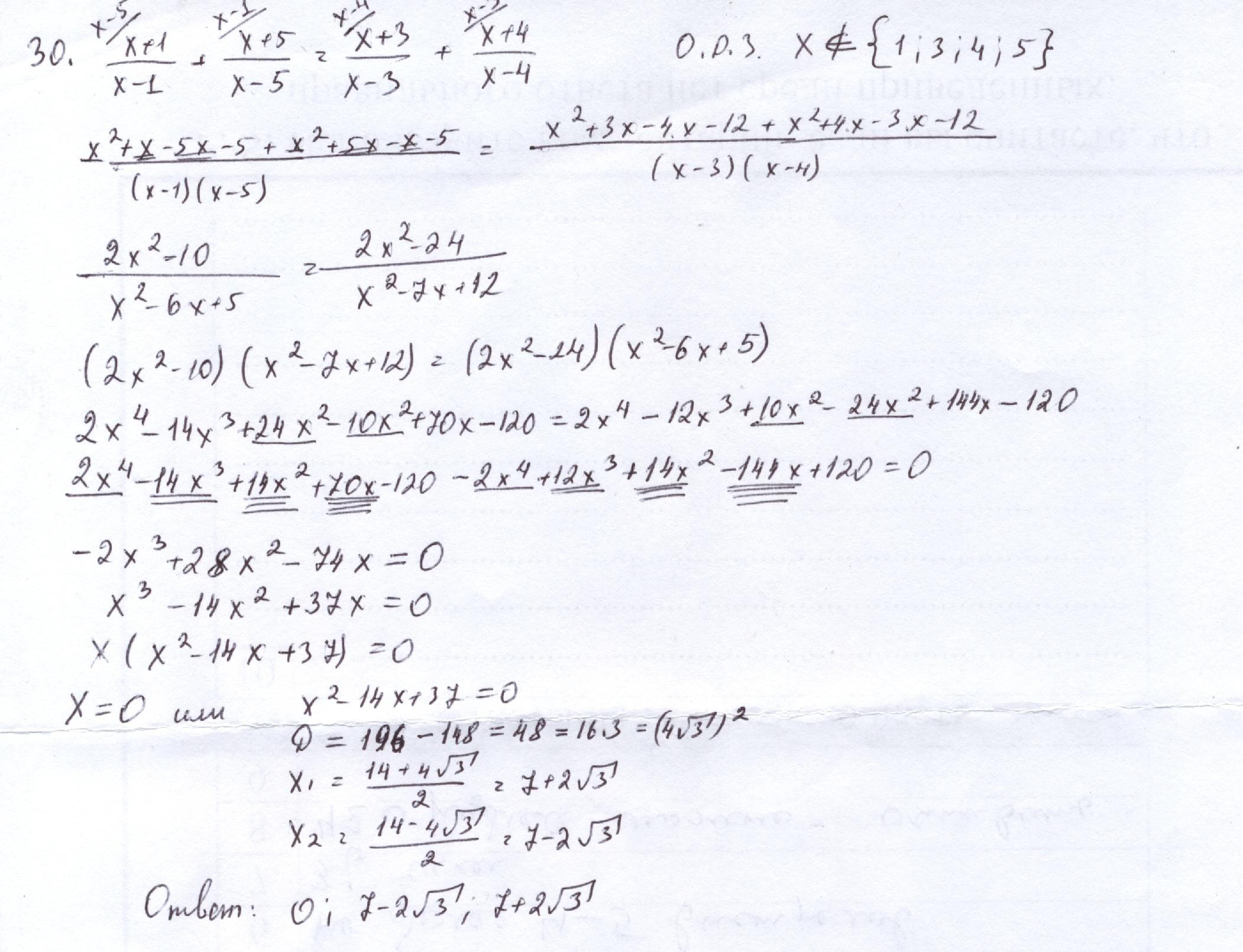
30.
(x+1)/(x-1) +(x+5)/(x-5) =(x+3)/(x-3) +(x+4)/(x-4) ; ОДЗ: x ≠1 ; x≠3 ; x≠4 ; x≠5 .
1+(x+1)/(x-1) +1+(x+5)/(x-5) = 1+(x+3)/(x-3) +1+(x+4)/(x-4) ;
2x /(x-1) +2x/(x-5) = 2x/(x-3) +2x/(x-4) ;
2x(1 /(x-1) +1/(x-5) ) =2x(1/(x-3) +1/(x-4) ) ;
x₀ = 0 корень ,
а если x ≠0
1 /(x-1) +1/(x-5) =1/(x-3) +1/(x-4) ;
1/(x-3) -1/(x-1) + 1/(x-4)-1/(x-5) =0 ;
2/(x-1)(x-3) -1/(x-4)(x-5) ;
2x² -18x+40 +x² - 4x-3=0 ;
x² - 14x +37 =0 ;
x₁ =7 -2√3 ;
x₂ = 7+2√3.
ответ : { 0 ; 7 -2√3 ; 7+2√3} .
( (x²+6)/(x² -4) )² -( (5x/(4-x²) ) =0 ; * * * (-A)² =A² * * *
( (x²+6)/(x² -4) )² -( (5x/(x² -4) ) =0 ;
( (x²+6)² - (5x)² ) / (x² -4)² =0 ; ОДЗ : x ≠ ±2 .
(x²+6)² - (5x)² =0 ⇔ (x²+6 - 5x)((x²+6 + 5x) =0 ⇔
[ x² - 5x+6 =0 ; x² + 5x+6 = 0 ⇔[ x =2 ; x=3; x = -2 . x= -3 . ⇒ x = ±3 .
* * *x = ±2 ∉ ОДЗ * * *
ответ : ±3 .
------------
28.
5/(x - 1) +4/(x+2) =9/(x+3) +1/(x - 4) ; * * * ОДЗ : x ≠ -3 ; -2 ; 1 ; 4 * * *
(5/(x - 1) -5.(x+3) ) + ( 4/(x+2) -4/(x+3) ) = 1/(x-4) ;
20/(x -1)(x+3) + 4/(x+2)(x+3) = 1/(x-4) ;
(20x+40+4x -4) /(x-1)(x+2)(x+3) =1(x-4) ;
(24x+36)(x-4) =(x -1)(x+2)(x+3) * * * (x -1)(x²+5x+6) =x³ +4x²+x-6 * * *
24x² -60x -144 =x³ +4x²+x-6 ;
x³ -20x² +61x +138 =0 ;
x₀ =6 корень (делитель свободного члена_138)
x³ -6x² -14x² +84x -23x +138=0 ;
x²(x-6) -14x(x - 6) -23(x-6) =0 ;
(x - 6)(x² -14x-23) =0 ; * * * x₀ =6 * * *
x² -14x -23 =0 ; D/4 =(14/2)² -(-23) =49+23 =72 =(6√2)² ;
x₁ =7 - 6√2 ;
x₂ =7+ 6√2.
ответ : { 7 - 6√2 ; 6 ;7+ 6√2 }
------------
30.
(x+1)/(x-1) +(x+5)/(x-5) =(x+3)/(x-3) +(x+4)/(x-4) ; ОДЗ: x ≠1 ; x≠3 ; x≠4 ; x≠5 .
1+(x+1)/(x-1) +1+(x+5)/(x-5) = 1+(x+3)/(x-3) +1+(x+4)/(x-4) ;
2x /(x-1) +2x/(x-5) = 2x/(x-3) +2x/(x-4) ;
2x(1 /(x-1) +1/(x-5) ) =2x(1/(x-3) +1/(x-4) ) ;
x₀ = 0 корень ,
а если x ≠0
1 /(x-1) +1/(x-5) =1/(x-3) +1/(x-4) ;
1/(x-3) -1/(x-1) + 1/(x-4)-1/(x-5) =0 ;
2/(x-1)(x-3) -1/(x-4)(x-5) ;
2x² -18x+40 +x² - 4x-3=0 ;
x² - 14x +37 =0 ;
x₁ =7 -2√3 ;
x₂ = 7+2√3.
ответ : { 0 ; 7 -2√3 ; 7+2√3} .
Автор ответа:
0
Решения на сканах.............
Приложения:
Похожие вопросы
Предмет: Право,
автор: aleksandpopov
Предмет: Другие предметы,
автор: utygnafug
Предмет: Алгебра,
автор: MariaRaider24
Предмет: Химия,
автор: 25080527
Предмет: Математика,
автор: Ломоносов111