Предмет: Математика,
автор: n6787
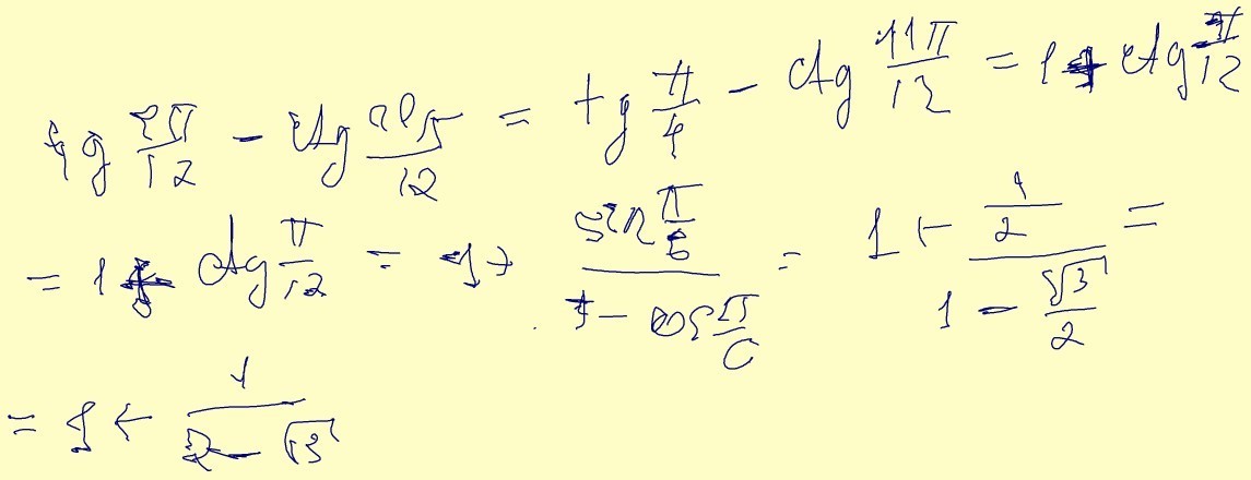
tg 13П12 - ctg 11П12 равно
Ответы
Автор ответа:
0
Ответ в картинке на фотографии
Приложения:
Похожие вопросы
Предмет: Українська мова,
автор: Molokakapro
Предмет: Химия,
автор: friend22
Предмет: Немецкий язык,
автор: posudnevskijelisej
Предмет: Литература,
автор: yuliaiurieva