Предмет: Алгебра,
автор: SkOrPiOnUs
Ребята, нужна срочно помощь, отдам 100 баллов! Решите пожалуйста!
Приложения:
Ответы
Автор ответа:
0
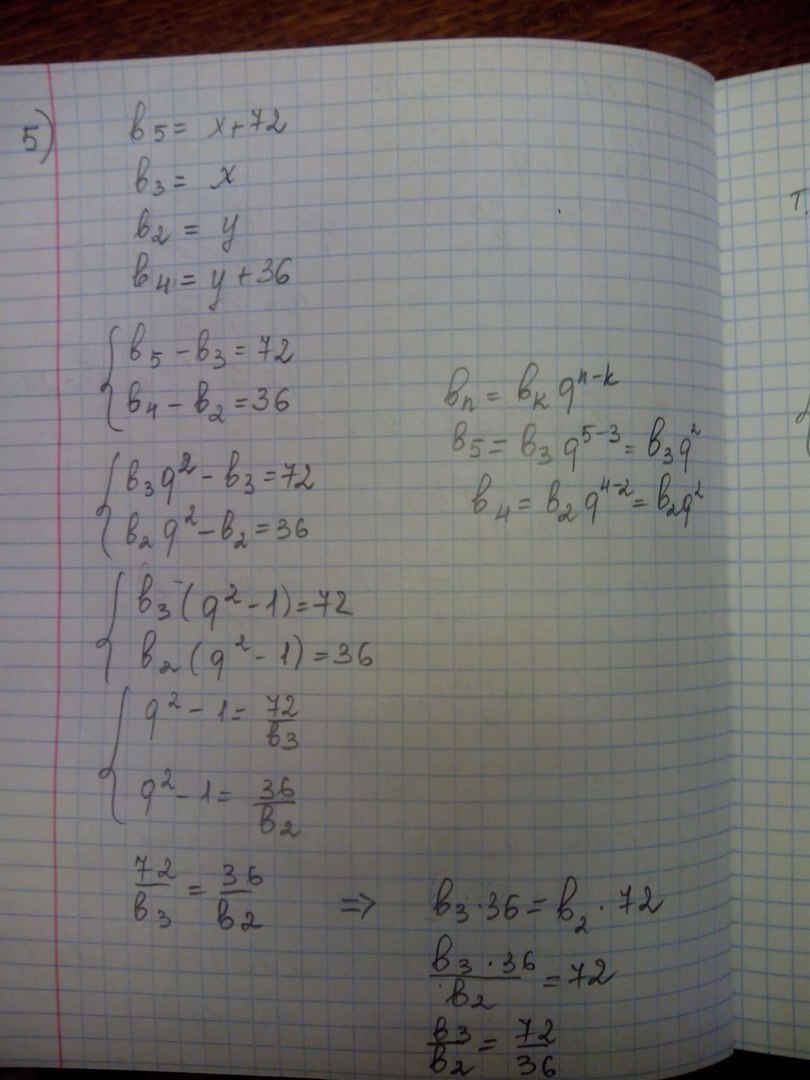
первое задание плохо видно... решала исходя из такого условия:

если
то решение на последнем изображении
если
Приложения:
Похожие вопросы
Предмет: Математика,
автор: idjdhfkdkd
Предмет: Математика,
автор: Nektozjk
Предмет: Математика,
автор: jgpz9kvnzc
Предмет: География,
автор: polatajkoanna
Предмет: Математика,
автор: AinuraIssa