Предмет: Математика, автор: DotkaVanLove

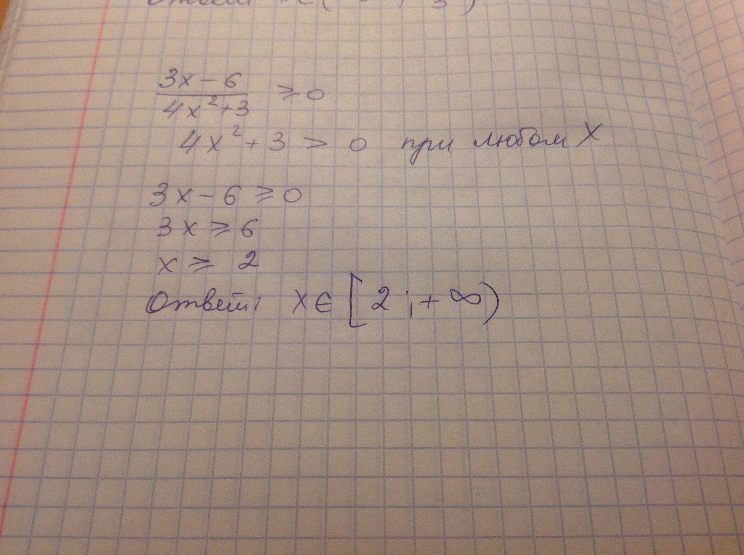
Решите неравенство (3x-6) / (4x^2+3)=>0

Ответы

Автор ответа: ВладимирБ
0
Решение смотри на фото
Приложения:
Похожие вопросы
Предмет: Русский язык, автор: ivanovavvv56
1. Укажите соответствие предложения его типу (знаки препинания не расставлены):
1) Оба слишком оживлённо и естественно слушали и говорили и это-то не понравилось Анне Павловне.
2) Лиза вышла из лесу перебралась через поля прокралась в сад и побежала на ферму где Настя ожидала её.
3) И дни бегут желтеют нивы с дерев спадает жёлтый лист.
4) Солнце сверкает на стёклах и окнах изб и золотит жёлтые соломенные крыши.
А) Простое; Б) Бессоюзное; В) Сложносочинённое; Г) Сложноподчинённое.

2. Выберите 3 правильных ответа. Укажите предложения, в которых ставится запятая.
1) Где-то в тёмном углу потрескивал сверчок да комар ещё вился вокруг лампочки.
2) Шум прибоя растёт и ледяной ветер вздымает и бешено срывает волны.
3) Вскоре после восхода набежала туча и брызнул короткий дождь.
4) Чёрное небо залохматилось и распахнулось глубочайшей бездной.
5) Солнце сильно пригревало сквозь туман и всё сияло перед глазами.

3. Выберите правильный ответ. Укажите сложносочинённое предложение с придаточным определительным.
1) Наконец Владимир увидел, что едет не в ту сторону.
2) Сделай это так, чтобы никто тебя не видел.
3) Мысль, что она в последний раз провожает день посреди своего семейства, стесняла ей сердце.
4) Ветер дул навстречу, как будто силясь остановить молодую преступницу.
Предмет: Физика, автор: 8098765sonya9