Предмет: Алгебра,
автор: narei
ПОМОГИТЕ ПОЖАЛУЙСТА ДАЮ 35Б
СРОЧНО!!!!!!!!!!!!!!
Приложения:
Ответы
Автор ответа:
0
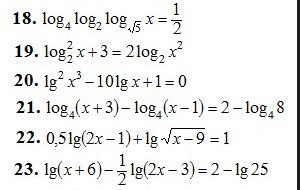
20 и 23 не получилось
Приложения:
Похожие вопросы
Предмет: Английский язык,
автор: Biiik
Предмет: Английский язык,
автор: klevpolina
Предмет: История,
автор: G45n6c45a
Предмет: География,
автор: blinnikovavs
Предмет: Математика,
автор: пигки15000465020