Предмет: Физика,
автор: jenach2000
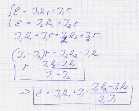
ПОМОГИТЕ!!! как по этой системе узнать и ЭДС и внутринее сопротивление
Приложения:
Ответы
Автор ответа:
0
прикрепляю решение картинкой, спрашивай, если что-то непонятно
Приложения:
Автор ответа:
0
нее , теперь все нормально стало я поменяла местами , по-моему учительница не правильно написала , мы вместе с ней делали
Автор ответа:
0
I1=0,6 I2=0/7
Автор ответа:
0
и напряжение тоже поеняла
Автор ответа:
0
ну, хорошо что разобралась)
Похожие вопросы
Предмет: Математика,
автор: ksyushadronova
Предмет: Окружающий мир,
автор: NnnnaGRV123
Предмет: Алгебра,
автор: Аноним
Предмет: Литература,
автор: allasashina
Предмет: Алгебра,
автор: pyntya2002