Предмет: Математика,
автор: srochnoooo
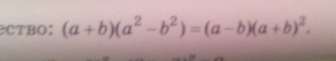
Докажите тождество )))))
Приложения:
Ответы
Автор ответа:
0
у меня нет не равны мне кажется что у меня может быть что то не то
Приложения:
Похожие вопросы
Предмет: Алгебра,
автор: Sergep24
Предмет: История,
автор: bulkkkkina
Предмет: Русский язык,
автор: araika858571
Предмет: Литература,
автор: kamamamapapa
Предмет: Математика,
автор: 9279979581