Предмет: Алгебра,
автор: Аноним
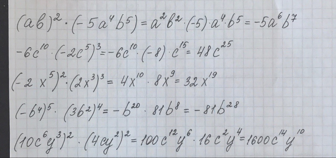
Решите примеры с решением
Приложения:
Ответы
Автор ответа:
0
....................
Приложения:
Похожие вопросы
Предмет: Математика,
автор: skautaga
Предмет: Математика,
автор: oliviaverano1
Предмет: Физика,
автор: hommiwe
Предмет: Физика,
автор: Katya10032000
Предмет: Литература,
автор: vadimrodik