Предмет: Алгебра,
автор: Volkov15
надо срочно решить !!!
Приложения:
Ответы
Автор ответа:
0
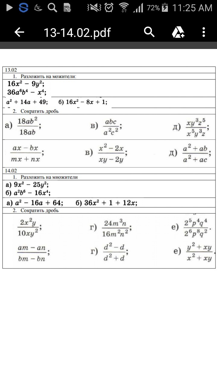
1)9x^2-25у^2
(3х-5у)(3х+5у)
а^2b^2-16х^4
(аb-4х^2)(аb+4х^2)
а^2+14а+49
(а+7)^2
16х^2-8х+1
(4х-1)^2
(3х-5у)(3х+5у)
а^2b^2-16х^4
(аb-4х^2)(аb+4х^2)
а^2+14а+49
(а+7)^2
16х^2-8х+1
(4х-1)^2
Похожие вопросы
Предмет: Алгебра,
автор: Аноним
Предмет: Математика,
автор: kolap0697
Предмет: Английский язык,
автор: Misha0228
Предмет: География,
автор: Lenochka328