Предмет: Математика, автор: Siciliano

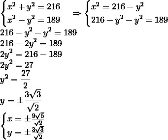
Сумма квадратов двух натуральных чисел равна 216. Разность квадратов этих же чисел равна 189. Найти эти числа.

Ответы

Автор ответа: Trover
0
begin{cases}x^2+y^2=216\x^2-y^2=189end{cases}Rightarrowbegin{cases}x^2=216-y^2\216-y^2-y^2=189end{cases}\216-y^2-y^2=189\216-2y^2=189\2y^2=216-189\2y^2=27\y^2=frac{27}2\y=pmfrac{3sqrt3}{sqrt2}\begin{cases}x=pmfrac{9sqrt5}{sqrt2}\y=pmfrac{3sqrt3}{sqrt2}end{cases}
Приложения:
Похожие вопросы
Предмет: Математика, автор: sadistka2202