Предмет: Математика, автор: Вика31052005

Помогите пожалуйста срочно , как можно подробнее и желательно на бумаге расписать

Приложения:

Ответы

Автор ответа: Trover
0
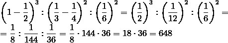
left(1-frac12right)^3:left(frac13-frac14right)^2:left(frac16right)^2=left(frac12right)^3:left(frac1{12}right)^2:left(frac16right)^2=\=frac18:frac1{144}:frac1{36}=frac18cdot144cdot36=18cdot36=648
Приложения:
Похожие вопросы
Предмет: Другие предметы, автор: Stasik903
Предмет: Химия, автор: арслан7
Предмет: Биология, автор: Мася121