Предмет: Алгебра,
автор: DEADЕYE
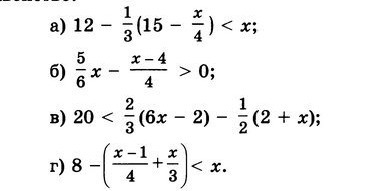
помогите Найдите наибольшее целое число,при котором верно неравенство.подробно
Приложения:
Ответы
Автор ответа:
0
на фото
.......................
.......................
Приложения:
Автор ответа:
0
спасибо
Автор ответа:
0
наибольшее целое число только в г)2
Автор ответа:
0
в остальных неравенствах до + бесконечности
Похожие вопросы
Предмет: Математика,
автор: broudmaps
Предмет: Информатика,
автор: 7929100110
Предмет: Химия,
автор: gulzada2001
Предмет: Химия,
автор: Аноним
Предмет: Биология,
автор: dzettsina