Предмет: Математика,
автор: JOHNVATSON
Помогите пожалуйста!!!!
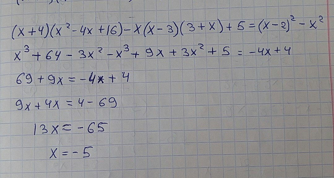
(x+4)*(x^2-4x+16)-x*(x-3)*(3+x)+5=(x-2)^2-x^2
Ответы
Автор ответа:
0
Ваша задача решена ответ можете посмотрет в вложение
Приложения:
Похожие вопросы
Предмет: География,
автор: ahverdievsaid2
Предмет: Українська мова,
автор: megashit22814
Предмет: Математика,
автор: elvinasaripova13
Предмет: Алгебра,
автор: novakovanastya
Предмет: Обществознание,
автор: goodmatvei