Предмет: Математика,
автор: Kompotech
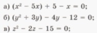
Помогите решить уравнения!!!!!!
Приложения:
Ответы
Автор ответа:
0
Ваша задача решена ответ можете посмотрет в вложение
Приложения:
Похожие вопросы
Предмет: Русский язык,
автор: guigxurxuxurxurx97
Предмет: Русский язык,
автор: guigxurxuxurxurx97
Предмет: Физика,
автор: yitka
Предмет: Математика,
автор: anjtka189