Предмет: Алгебра,
автор: dglasmann
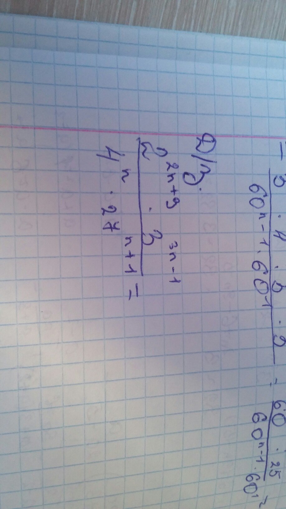
Упростите выражение! Пожалуйста!
Приложения:
Ответы
Автор ответа:
0
Решение на фотографии
Приложения:
Похожие вопросы
Предмет: Биология,
автор: nufanova
Предмет: Математика,
автор: nadezdakolesnikova
Предмет: Русский язык,
автор: ghfghfhgf
Предмет: Математика,
автор: sasanastiasmi
Предмет: Математика,
автор: anonymanonymanonym