Предмет: Алгебра,
автор: Yangranatik
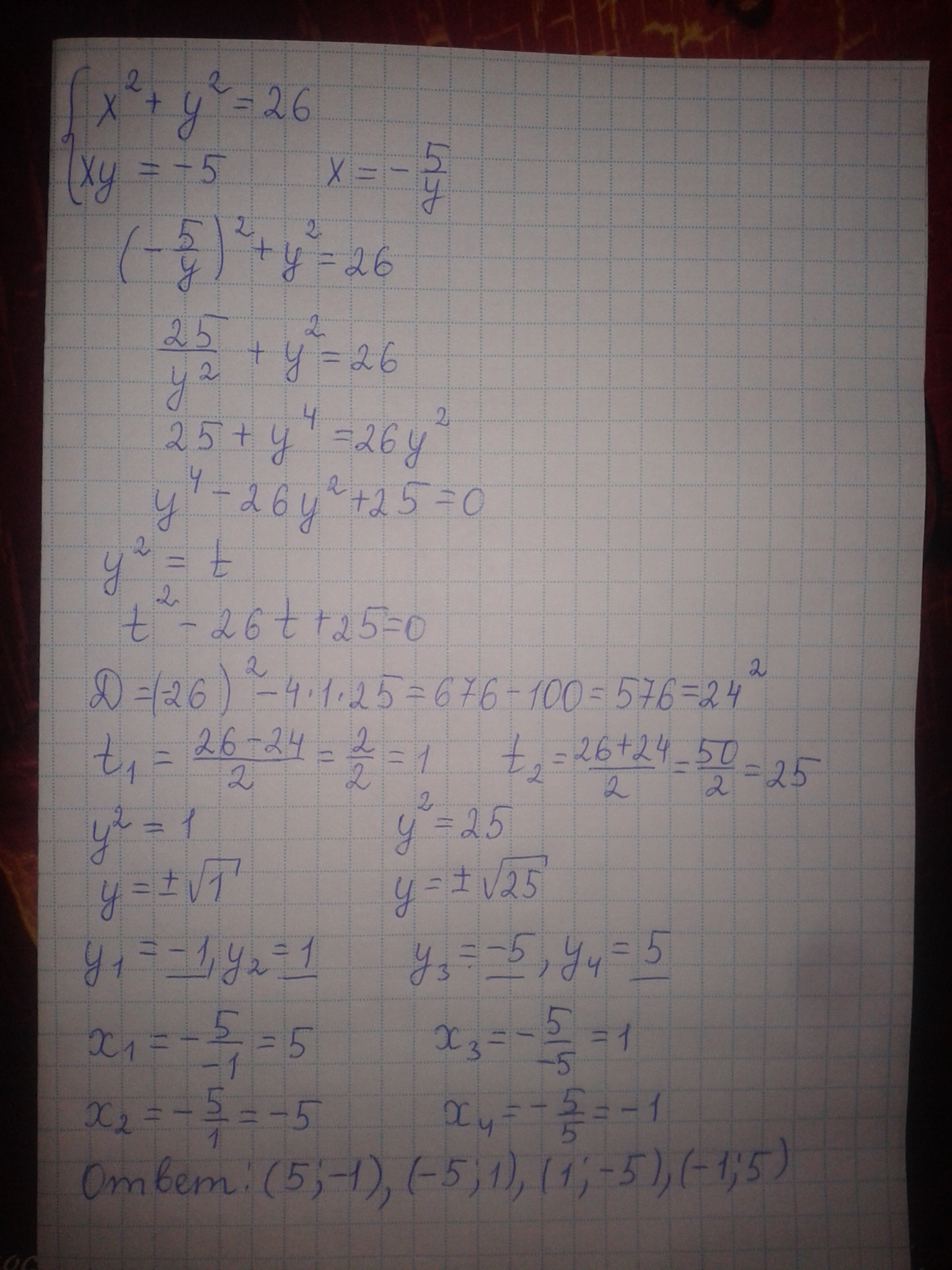
решите систему уравнений
Приложения:
Ответы
Автор ответа:
0
решение на фото
............................
............................
Приложения:
Похожие вопросы
Предмет: Математика,
автор: Kartofanochka002
Предмет: Физика,
автор: arishalitvarina
Предмет: Геометрия,
автор: Alexander4040339
Предмет: География,
автор: vladakotula2004
Предмет: Алгебра,
автор: BLablal