Предмет: Геометрия,
автор: wowosh451
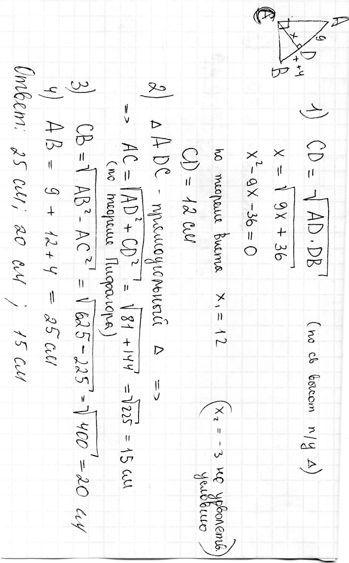
Дан прямоугольный треугольник ABC:угол С =90°
Из угла С проведена высота
И делит гипотенузы на две части: АD и DB
AD = 9 см
DB на 4 см больше DC
Найти стороны треугольника ABC
Ответы
Автор ответа:
0
Всё решение в скане. Если что-то не будет понятно, я могу всё пояснить.
Приложения:
Похожие вопросы
Предмет: Математика,
автор: Аноним
Предмет: Алгебра,
автор: yuriytregubov96
Предмет: Русский язык,
автор: hataqekakashi
Предмет: Химия,
автор: DZA11
Предмет: Математика,
автор: кекмдауж