Предмет: Математика,
автор: Аноним
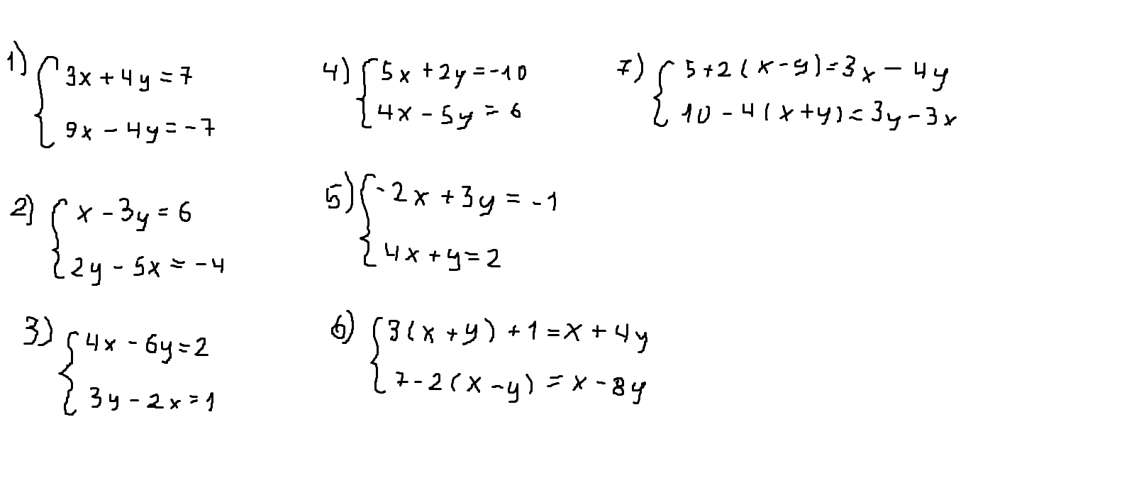
ребят помагите пожалуста решить линейные уравнения на фото там уравнения с разными способами только не показан какой способ у уравнения нужно самаму угадать помагите пожалуста
Приложения:
Ответы
Автор ответа:
0
Не уверена,но вот как-то так...
Приложения:
Похожие вопросы
Предмет: Французский язык,
автор: kudryashhhhhh
Предмет: Английский язык,
автор: avramenko01
Предмет: Биология,
автор: Dasyliia
Предмет: Математика,
автор: Аноним
Предмет: География,
автор: Burbo