Предмет: Математика,
автор: konet24
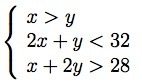
Найдите все такие целые x и y, для которых выполняются условия:
Приложения:
Ответы
Автор ответа:
0
ответ худеть только (11;9)
Похожие вопросы
Предмет: Математика,
автор: rpo19
Предмет: Математика,
автор: bendaliyevmurad
Предмет: Английский язык,
автор: angelinasaripkova198
Предмет: Обществознание,
автор: Nusic
Предмет: Математика,
автор: Ника20071