Предмет: Математика,
автор: вика7410
Решите пожалуйста!!!
Приложения:
Ответы
Автор ответа:
0
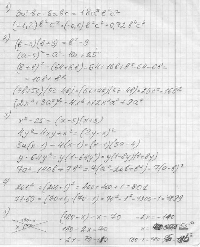
5.
55 градусов и 125 градусов
Пусть один угол - х градусов, тогда второй угол - (180 - х) градусов. Тогда получаем уравнение
(180 - х) - х = 70
180 - 2х = 70
- 2х = 70 - 180
- 2х = - 110
х = 55
180 - х = 180 - 55 = 125
Ответ: смотри выше
55 градусов и 125 градусов
Пусть один угол - х градусов, тогда второй угол - (180 - х) градусов. Тогда получаем уравнение
(180 - х) - х = 70
180 - 2х = 70
- 2х = 70 - 180
- 2х = - 110
х = 55
180 - х = 180 - 55 = 125
Ответ: смотри выше
Приложения:
Похожие вопросы
Предмет: Математика,
автор: jekdjxjekejd
Предмет: Русский язык,
автор: pirquliyevasabina
Предмет: Математика,
автор: kropk
Предмет: Математика,
автор: serezha250380
Предмет: Химия,
автор: Lana310169