Предмет: Алгебра, автор: Неуловимыйтип

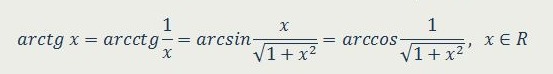
как после выражения displaystyle frac{P}{sin arctanalpha} получили displaystyle frac{P}{frac{ frac{P}{Q-G} }{sqrt{left( frac{P}{Q-G} right)^2+1}}}. Есть какая-то формула?

Приложения:

Ответы

Автор ответа: ShirokovP
0
sin(arctg frac{P}{Q-G} )=sin(arcsin frac{ frac{P}{Q-G} }{ sqrt{1+ (frac{P}{Q-G})^2 } } )=frac{ frac{P}{Q-G} }{ sqrt{1+ (frac{P}{Q-G})^2 } }
Приложения:
Похожие вопросы
Предмет: Физика, автор: sparta88