Предмет: Алгебра,
автор: Alice1999
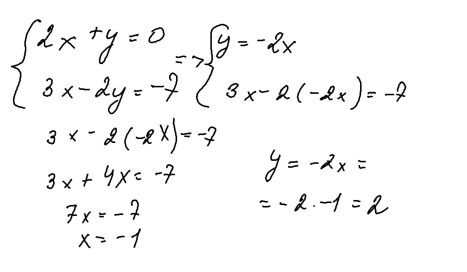
решить систему. 2x+y=0 и 3x-2y=-7
Ответы
Автор ответа:
0
во вложениях решение системы
Приложения:
Похожие вопросы
Предмет: Музыка,
автор: dashunjakr167
Предмет: Геометрия,
автор: Oldbek
Предмет: Русский язык,
автор: vitioknet
Предмет: Алгебра,
автор: L1L2