Предмет: Геометрия,
автор: helenasr
Решите,пожалуйста.Очень нужно.
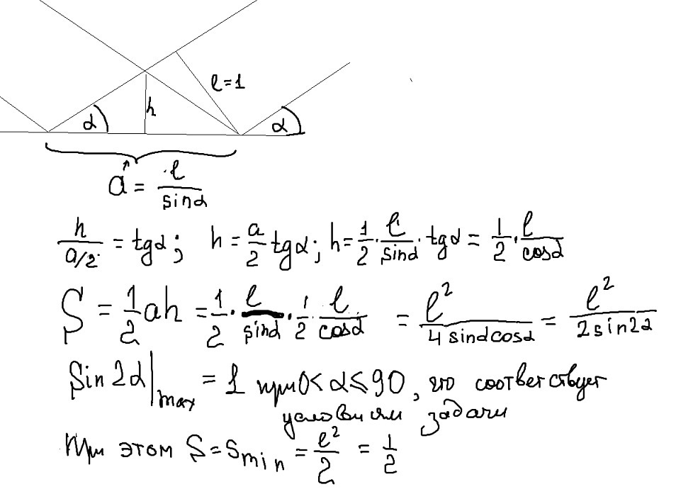
Длинную бумажную ленту шириной 1 перегнули под некоторым углом к его краю. В результате перекрывающиеся части образовали "двуслойный" треугольник. Найти наименьшую возможную площадь такого треугольника .30 баллов.
Ответы
Автор ответа:
0
Ну ладно. Живи. Решение полное
Приложения:
Похожие вопросы
Предмет: Математика,
автор: Аноним
Предмет: Физика,
автор: muntanulia83
Предмет: Математика,
автор: stststhe00
Предмет: Математика,
автор: алина393
Предмет: Геометрия,
автор: Ghgugugy