Предмет: Химия,
автор: Khadija56
помогите пожалуйста Вычеслить массу и количество вещества 3 с половиной моль хлорида натрия помогите напишите пожалуйста весь ответ вместе с дано
Ответы
Автор ответа:
0
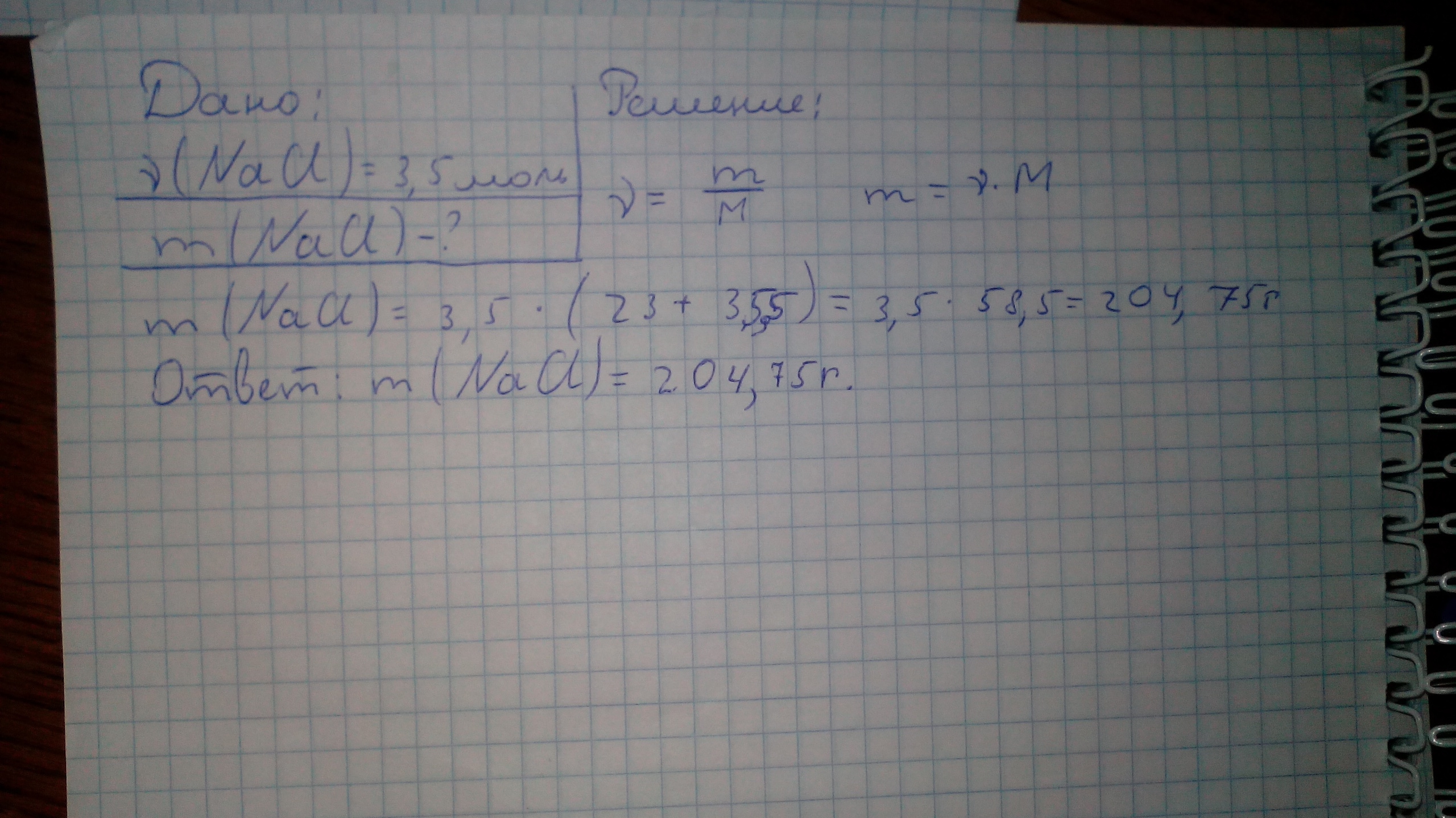
Как-то так.Надеюсь, что верно.)
Приложения:
Автор ответа:
0
вычеслить массу и количество вещества 3 с половиной моль хлорида натрия
Автор ответа:
0
ну помогите
Похожие вопросы
Предмет: Математика,
автор: qksuw9ewy82i1ow
Предмет: Английский язык,
автор: xanimbayramova58
Предмет: Математика,
автор: tolianklik
Предмет: Математика,
автор: Паша113
Предмет: Обществознание,
автор: DEfrem146