Предмет: Математика,
автор: dianasalykova5
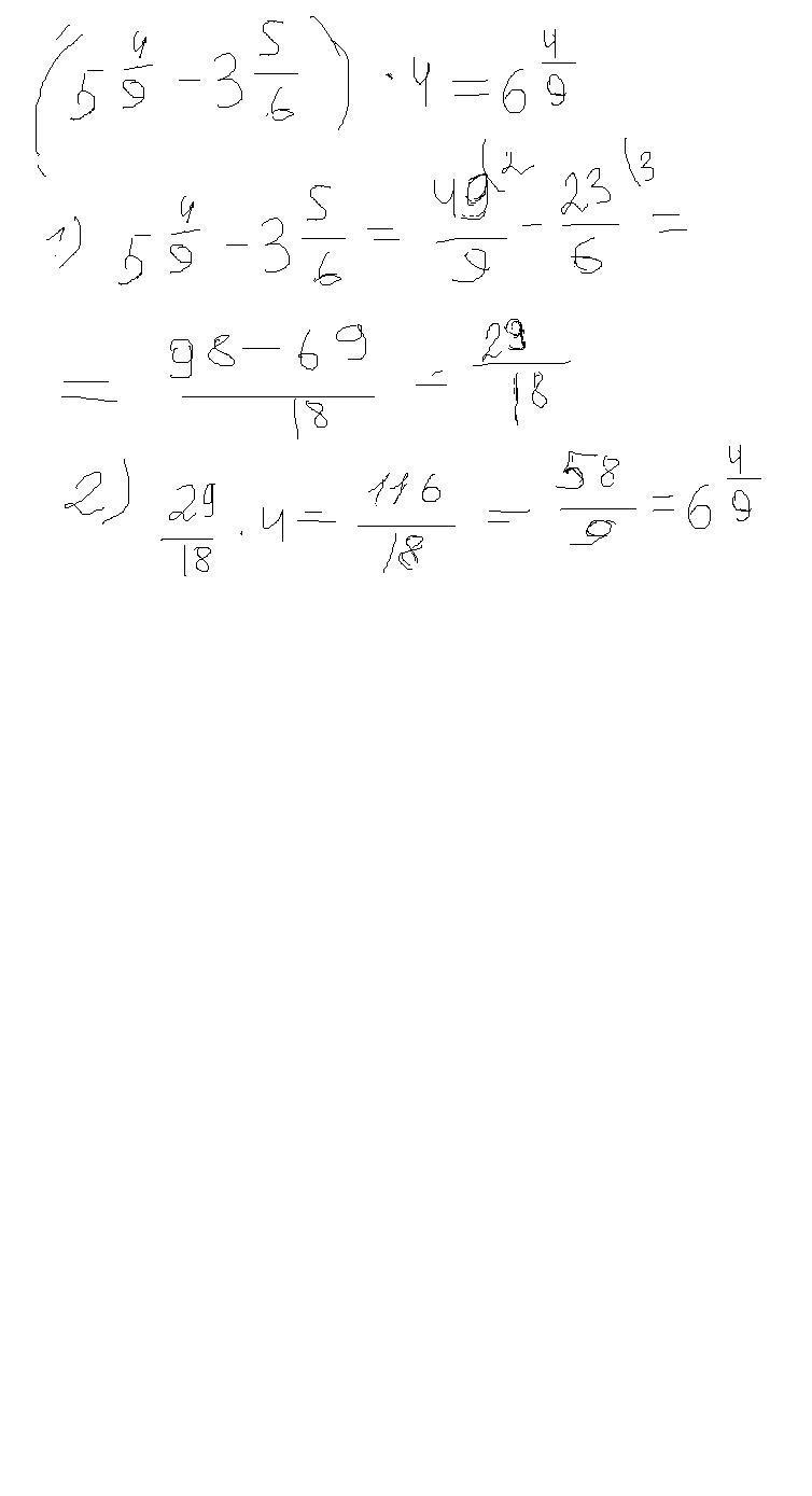
(5ц.4/9-3ц.5/6)×4
Пожалуйста
Ответы
Автор ответа:
0
решение в приложенном файле
Приложения:
Автор ответа:
0
там 6 целых 4/9, шесть как-то низко написала
Похожие вопросы
Предмет: Алгебра,
автор: dmitrijvysokij129
Предмет: Химия,
автор: soldy21
Предмет: Другие предметы,
автор: LiptonLove
Предмет: Математика,
автор: Захра11