Предмет: Математика,
автор: ivmisha2000
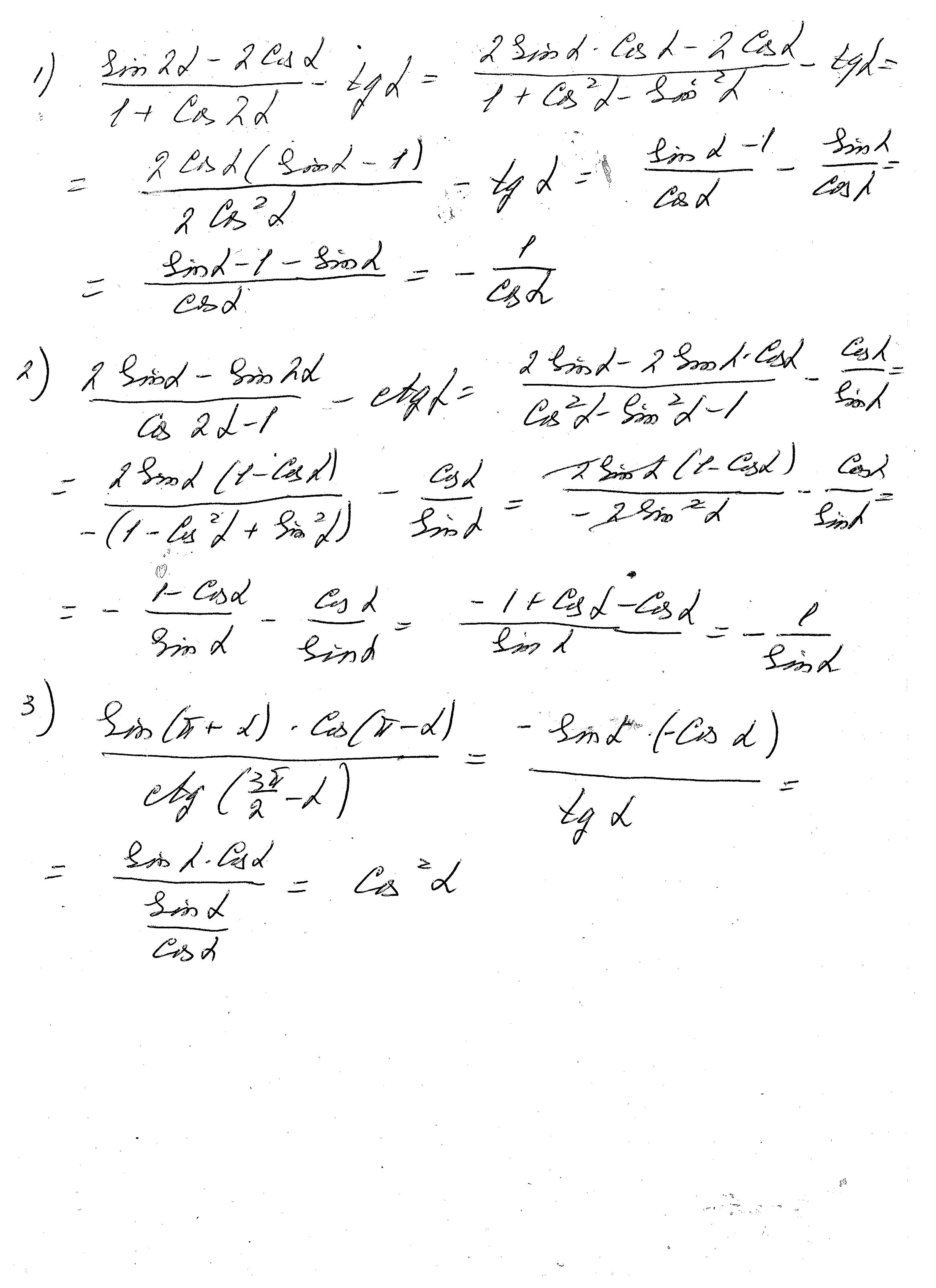
Упростите выражения:
Приложения:
Ответы
Автор ответа:
0
Решение - в приложении
Приложения:
Похожие вопросы
Предмет: Химия,
автор: sarikosummer
Предмет: Математика,
автор: lebrummmm
Предмет: Математика,
автор: Dalarik836
Предмет: Математика,
автор: Аноним
Предмет: Математика,
автор: иринафедошева1