Предмет: Математика,
автор: бросик
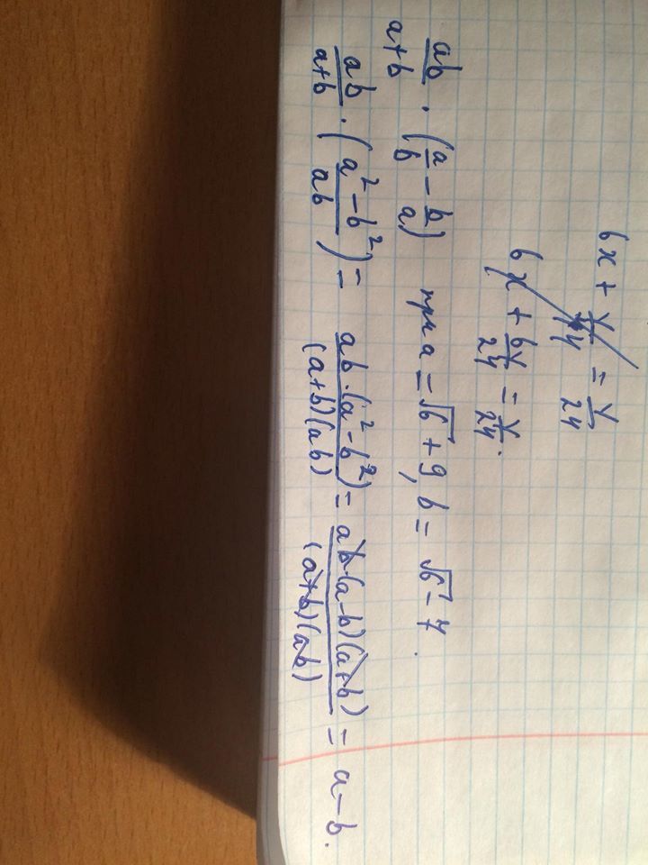
номер 7 решите пожалуйста люди
Приложения:
Ответы
Автор ответа:
0
Остальное просто поставь числа и отними .
Приложения:
Похожие вопросы
Предмет: Українська мова,
автор: anastasiiakopiltsiv
Предмет: Литература,
автор: vlasovadaria905
Предмет: Математика,
автор: 545l
Предмет: Физика,
автор: aliana1999gmailru