Предмет: Математика,
автор: ZarinaKS
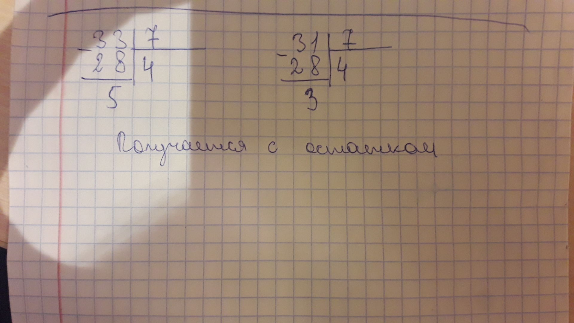
Докажите, что число вида 33...31 не делится на 7.
Ответы
Автор ответа:
0
Вот ответ. Мне кажется что твое задание решается именно так.
Приложения:
Похожие вопросы
Предмет: Геометрия,
автор: maksimshadr01933
Предмет: Химия,
автор: dzuravleva927
Предмет: Математика,
автор: Alikst2007
Предмет: Математика,
автор: lina98981
Предмет: Математика,
автор: sprite12alex