Предмет: Математика,
автор: AlisSed
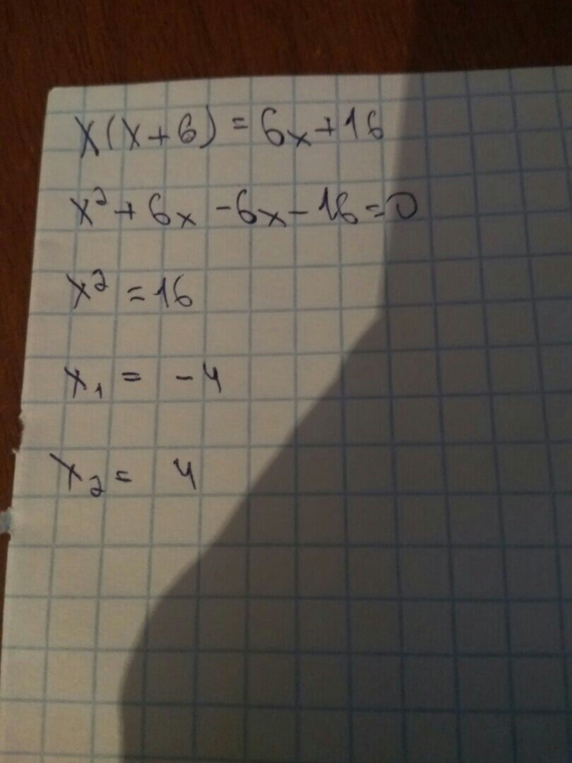
Помогите пожалуйста решить уравнение х(х+6)=6х+16
Ответы
Автор ответа:
0
Смотри вложения.
P.s. Будь другом, если все верно, то отметь задание как лучшее.
P.s. Будь другом, если все верно, то отметь задание как лучшее.
Приложения:
Похожие вопросы
Предмет: Обществознание,
автор: bablomet616
Предмет: Русский язык,
автор: katerinacehman
Предмет: Математика,
автор: aliskavishneva2002
Предмет: Химия,
автор: qwer123413