Предмет: Химия,
автор: bagirovakyamal
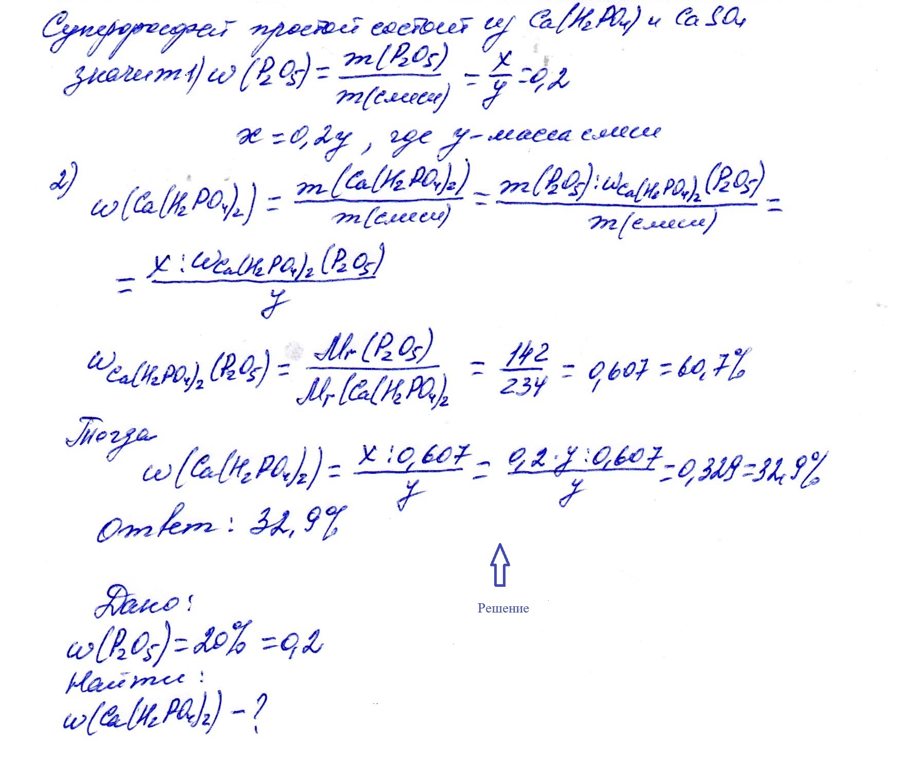
обчисліть масову частку Ca(H2PO4)2 у зразку суперфосфату, якщо в ньому масова частка фосфор(5)оксиду становить 20%
Ответы
Автор ответа:
0
.......................................................
.................................................
.................................................
Приложения:
Похожие вопросы
Предмет: Физика,
автор: speedxakbs
Предмет: Математика,
автор: gamzoved
Предмет: Французский язык,
автор: bogdanbudnik315
Предмет: Физика,
автор: martinowayulya
Предмет: Алгебра,
автор: izb37374