Предмет: Математика,
автор: slengg
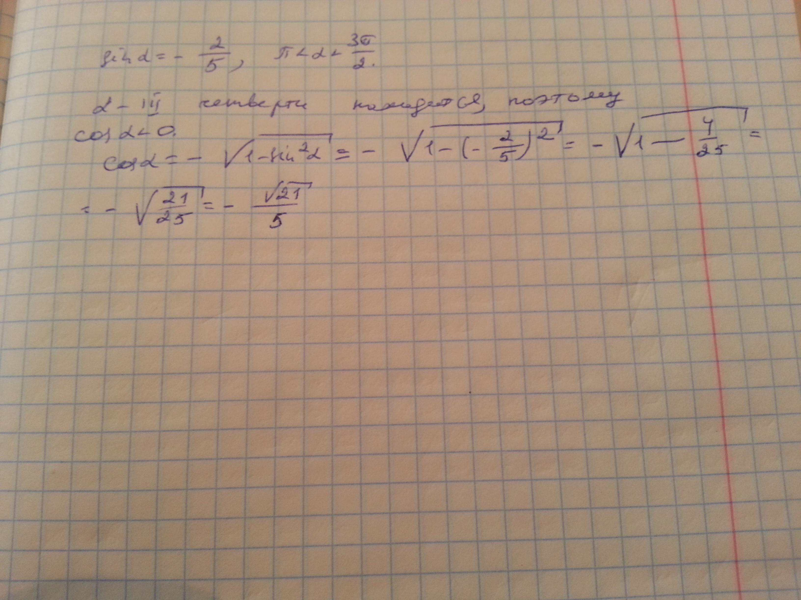
вычислить cos альфа если sin альфа = -2/5 пи < альфа < 3пи/2
Ответы
Автор ответа:
0
Ответ ответ ответ ответОтвет
Приложения:
Похожие вопросы
Предмет: Математика,
автор: Hoido
Предмет: Математика,
автор: lui222
Предмет: Английский язык,
автор: arukarau1089
Предмет: Математика,
автор: Зех21
Предмет: Математика,
автор: zarinka2015