Предмет: Алгебра,
автор: Darrrrrr
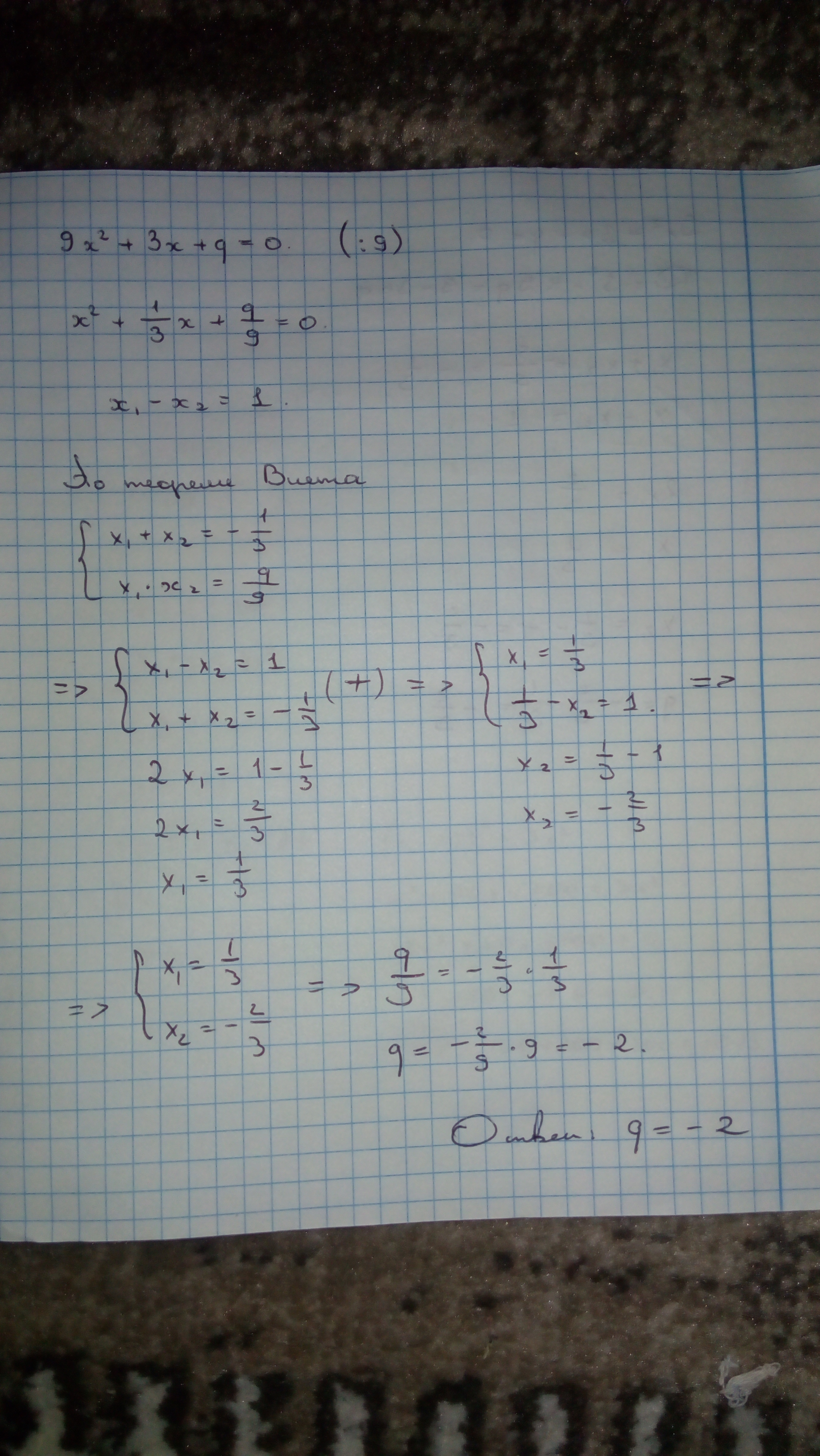
один из корней уравнения 9х2+3Х+q=0 на 1 меньше другого.Найдите q.
Пожалуйста, подробно.
Ответы
Автор ответа:
0
...........................
Приложения:
Похожие вопросы
Предмет: Українська мова,
автор: talvi7533
Предмет: Українська мова,
автор: prs078
Предмет: Математика,
автор: serizagirova
Предмет: Математика,
автор: Аноним