Предмет: Алгебра,
автор: olgacostuk
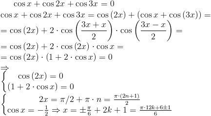
cosx + cos2x+cos3x=0
Ответы
Автор ответа:
0
Примерно так.Смотри на фото
Приложения:
Похожие вопросы
Предмет: Другие предметы,
автор: billcipherolder
Предмет: Математика,
автор: vipleilive
Предмет: Физика,
автор: maksimkasancuk24
Предмет: Литература,
автор: RusekRU
Предмет: Физика,
автор: www021199