Предмет: Алгебра,
автор: ftz
Ребятки пропустил тему наращиваю материал активно,вот в учебнике данное задание
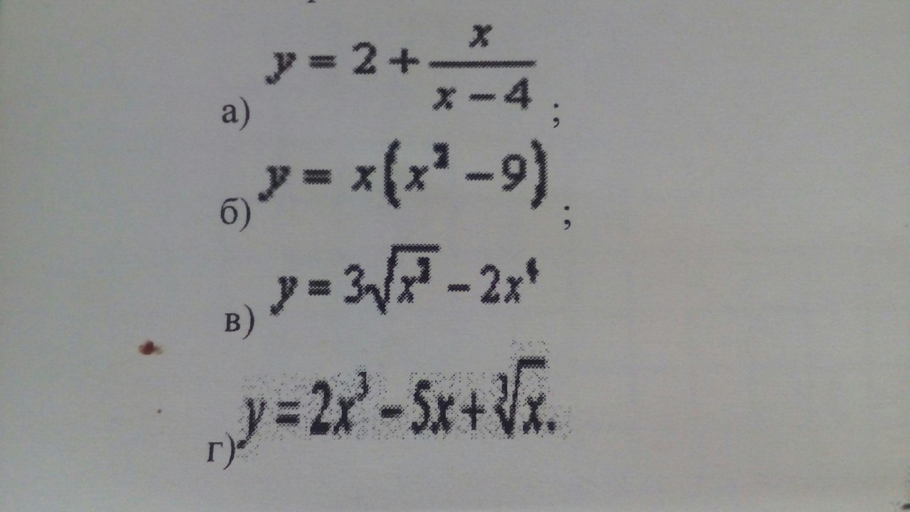
Определите четность или нечетность функции
Помогите пожалуйста ,буду безумно рад.
Приложения:
Ответы
Автор ответа:
0
если мы заменим все х на -х и после преобразований получим ту же функцию, что и была, значит, она четная, если мы получим ту же функцию, но с отрицательным знаком - значит она нечетная, если получается вообще что-то другое - это функция общего вида))
Проверяем:
а) y(-x)=2+
=2+
- это ни четная, ни нечетная ф-я, это ф-я общего вида
б) y(-x)=-x((-x)³-9)=-x(-x³-9)=x(x³+9) - это ф-я общего вида
в) y(-x)=3√(-x)³-2(-x)⁴=3√-x³-2x⁴ - тут вообще под корнем минус получается, но все равно ф-я общего вида
г) y(-x)=2(-x)³-5(-x)+∛-x=-2x³+5x-∛x=-(2x³-5x+∛x) - эта функция нечетная
Проверяем:
а) y(-x)=2+
б) y(-x)=-x((-x)³-9)=-x(-x³-9)=x(x³+9) - это ф-я общего вида
в) y(-x)=3√(-x)³-2(-x)⁴=3√-x³-2x⁴ - тут вообще под корнем минус получается, но все равно ф-я общего вида
г) y(-x)=2(-x)³-5(-x)+∛-x=-2x³+5x-∛x=-(2x³-5x+∛x) - эта функция нечетная
Похожие вопросы
Предмет: Математика,
автор: yanukpavel
Предмет: Биология,
автор: Hsbhsjwbshjsmzb
Предмет: Химия,
автор: kissmaysaa
Предмет: Математика,
автор: michailo7115
Предмет: Литература,
автор: Стася3735