Предмет: Математика,
автор: Ghdgbj
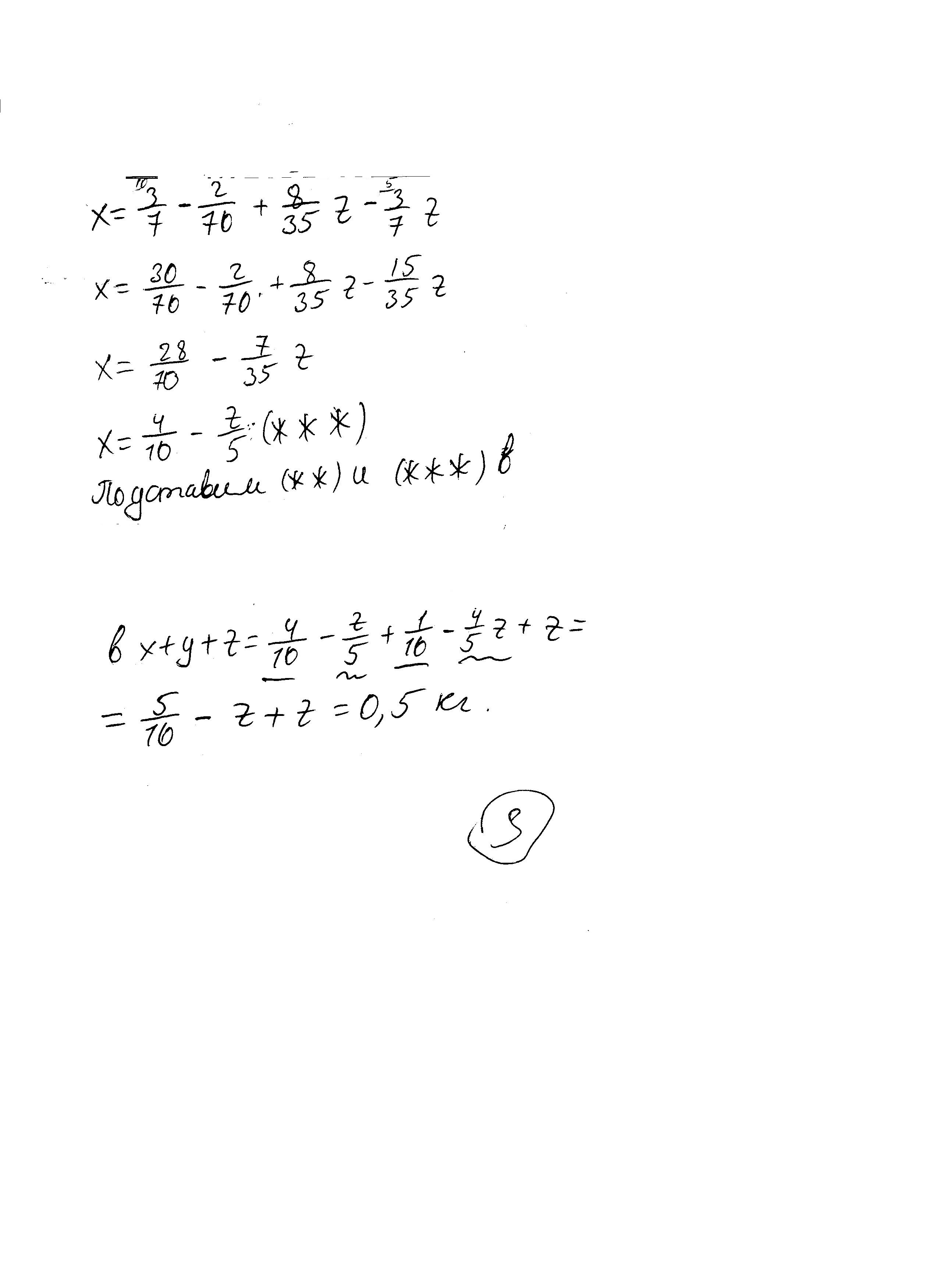
В магазине в отделе фрукты и овощи стоят неисправные весы они верно взвешивают продукты только от 1 кг. при взвешивании 7 яблок 2 мандаринов и 3 бананов весы показывают 3 кг. при взвешивании 4 яблок 9 мандаринов и 8 бананов весы показывают 2.5 кг. Сколько весят вместе одно яблоко один мандарин и один банан?
Ответы
Автор ответа:
0
Решение в приложении. Яблоко, мандарин и банан вместе весят полкило. Но на весах, видать, их не взвесишь, так как весы не показывают правильно вес, меньше килограмма.
Приложения:
Похожие вопросы
Предмет: Литература,
автор: Аноним
Предмет: Геометрия,
автор: tsaprykaalina
Предмет: Биология,
автор: Dhgxv
Предмет: Математика,
автор: love832004
Предмет: Математика,
автор: Аноним