Предмет: Алгебра,
автор: drawot03
Выполнить действие реши е пож!!!
Приложения:
Ответы
Автор ответа:
0
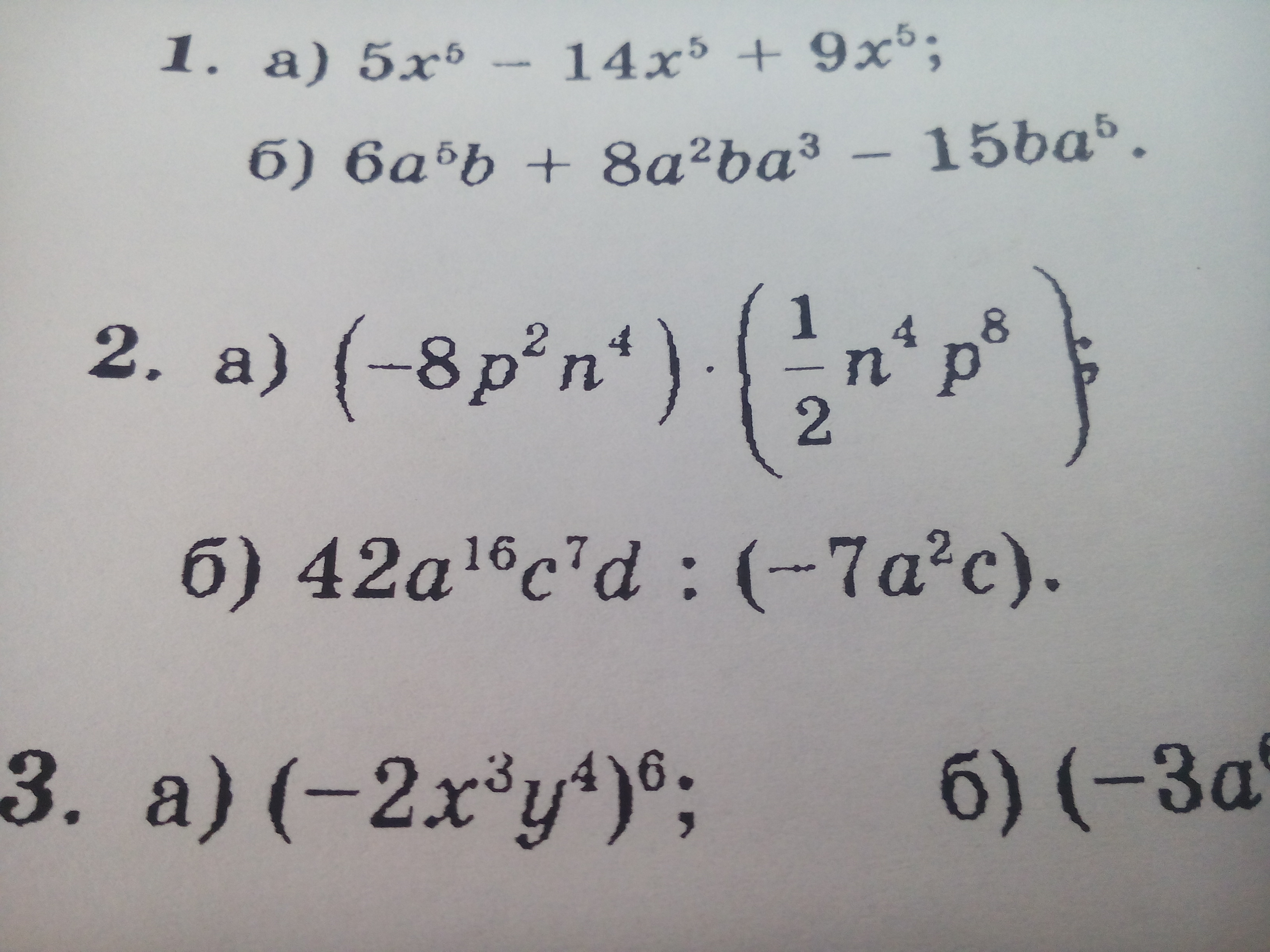
а) -(8р²n⁴)×(1/2n⁴p^8)=-(8n⁴p²)×(1/2n⁴p^8)= -4n^8p^10
b) 42a^16 c^7 d :(-7a²c )= -6a^14 c^6 d
Похожие вопросы
Предмет: Алгебра,
автор: 231621f
Предмет: Математика,
автор: cris2020
Предмет: Физика,
автор: mprozapas2003
Предмет: Алгебра,
автор: Lesnaya02
Предмет: Математика,
автор: тим35