Предмет: Алгебра, автор: DKA13

Решите уравнение 3x^2—x=x^2

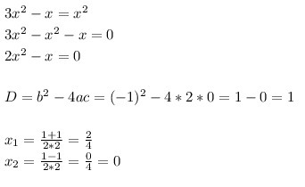
3X в квадрате — X = X в квадрате

Ответы

Автор ответа: Murad313
0
3x^2-x=x^2
3x^2-x^2-x=0
2x^2-x=0

D=b^2-4ac=(-1)^2-4*2*0=1-0=1

x_1 =  frac{1+1}{2*2}=  frac{2}{4}
x_2= frac{1-1}{2*2}= frac{0}{4}=0

Приложения:
Похожие вопросы
Предмет: Русский язык, автор: milchakov141209
Прочитайте внимательно тексты и выполните задания.

Текст А

Здравствуй, Олжас. Как твои дела? Как продвигается твоя исследовательская работа по астрономии? Знаешь, на днях в нашей школе проходила встреча с командой астрономов. Они рассказали нам о своем невероятном открытии. Представляешь, им удалось обнаружить одну из самых первых звезд во Вселенной. Если ученые начнут изучение этой звезды уже в этом году, то скоро мы узнаем, как именно формировалась галактика Млечный Путь. Думаю, тебе будет интересна эта информация. Заканчиваю письмо, пиши. Твой друг Сергей.

Текст Б


А) В темном небе жили две звездочки. Одна из них была старательной и светила ярко-ярко. Другая была маленькой и тусклой, спала днем и ночью.


В) - Зачем мне стараться? - говорила она. - Все звезды одинаковые, их так много. За меня посветят другие, этого достаточно, чтобы на Земле стало светлее. От меня пользы немного.

С) Однажды Звёздочка-лентяйка увидела комету. У Звездочки дух захватило:

- Как ты красива! Я знаю, твое сиянье недолговечно, я хочу стать такой же яркой.

D) Комета ответила:

- Звездочка! У каждого существа Вселенной свое предназначение. У меня короткая жизнь, и я должна успеть отдать свое тепло и свет. Но ты не теряй время даром, а то проспишь всю жизнь. Отдыхать можно и днем, чтобы ночью работать. И тогда ты сможешь стать очень яркой, и кто-нибудь обязательно назовет тебя «своей звездой».


1. Какой общей темой объединены оба текста? Запишите ее.
2.Сформулируйте и запишите основную мысль текста А.
3.Сформулируйте и запишите основную мысль текста Б.
4.В какой части текста Б содержится совет кометы звездочке-лентяйке? (выберите букву и запишите ее)
5. Найдите и выпишите из текста Б предложение, в котором говорится о предназначении кометы.
6. Выпишите из текста А предложение, которое является ответом на вопрос: «Представляют ли первые звезды интерес для современной астрономии?»

6 баллов

Письмо
Задание 2

Расскажите об одном из семи чудес Казахстана: когда и где оно было найдено или построено, дайте его описание, объясните, почему ученые включили его в список семи чудес Казахстана. Объем письменной работы – 60-70 слов. 7 баллов


Пжпжпжпжп
Предмет: Математика, автор: geregavitalij2