Предмет: Математика,
автор: adamine
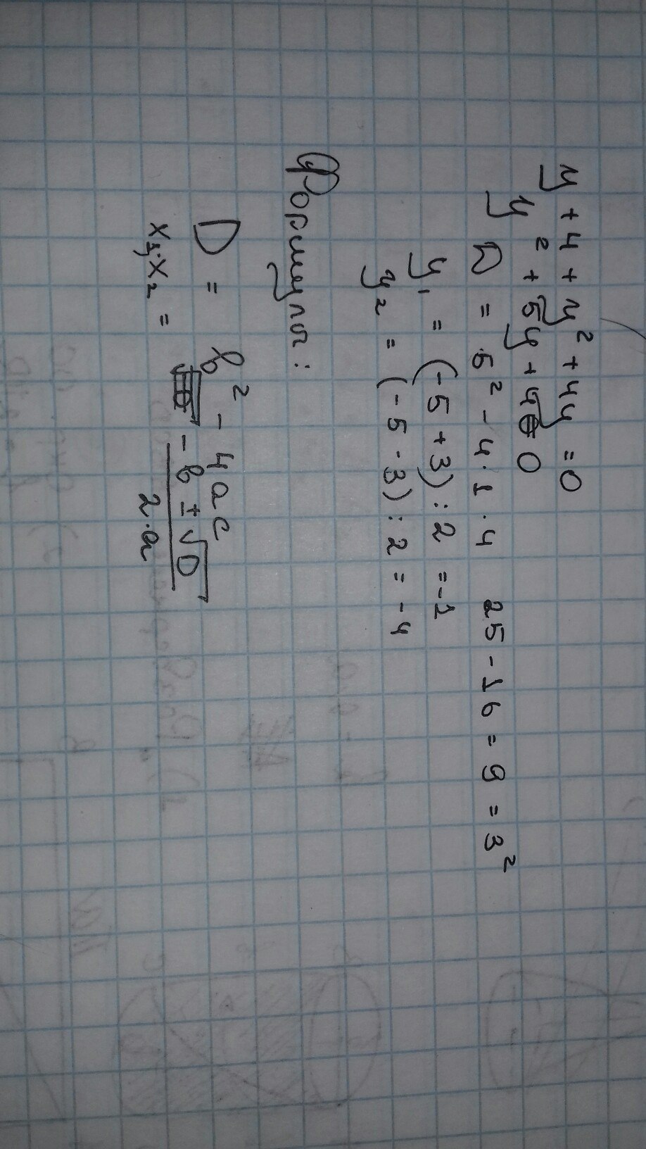
Помогите пожалуйста! Решите уравнение у+4+у2+4у=0
7 класс
Ответы
Автор ответа:
0
Обращайся, если что)
Приложения:
Автор ответа:
0
АГА :)
Автор ответа:
0
(y + 4) + y(y + 4) = 0
(y + 4)(1 + y) = 0
y = -4 или y = -1
Ответ: -1 и -4
(y + 4)(1 + y) = 0
y = -4 или y = -1
Ответ: -1 и -4
Приложения:
Автор ответа:
0
вынесли за скобку (y+4)
Похожие вопросы
Предмет: Музыка,
автор: sofiaivanova430
Предмет: Английский язык,
автор: Anime28473
Предмет: Информатика,
автор: aliatakiseva27
Предмет: Алгебра,
автор: kozibeeva
Предмет: Химия,
автор: АнастасіяІ