Предмет: Алгебра,
автор: Takuzuka
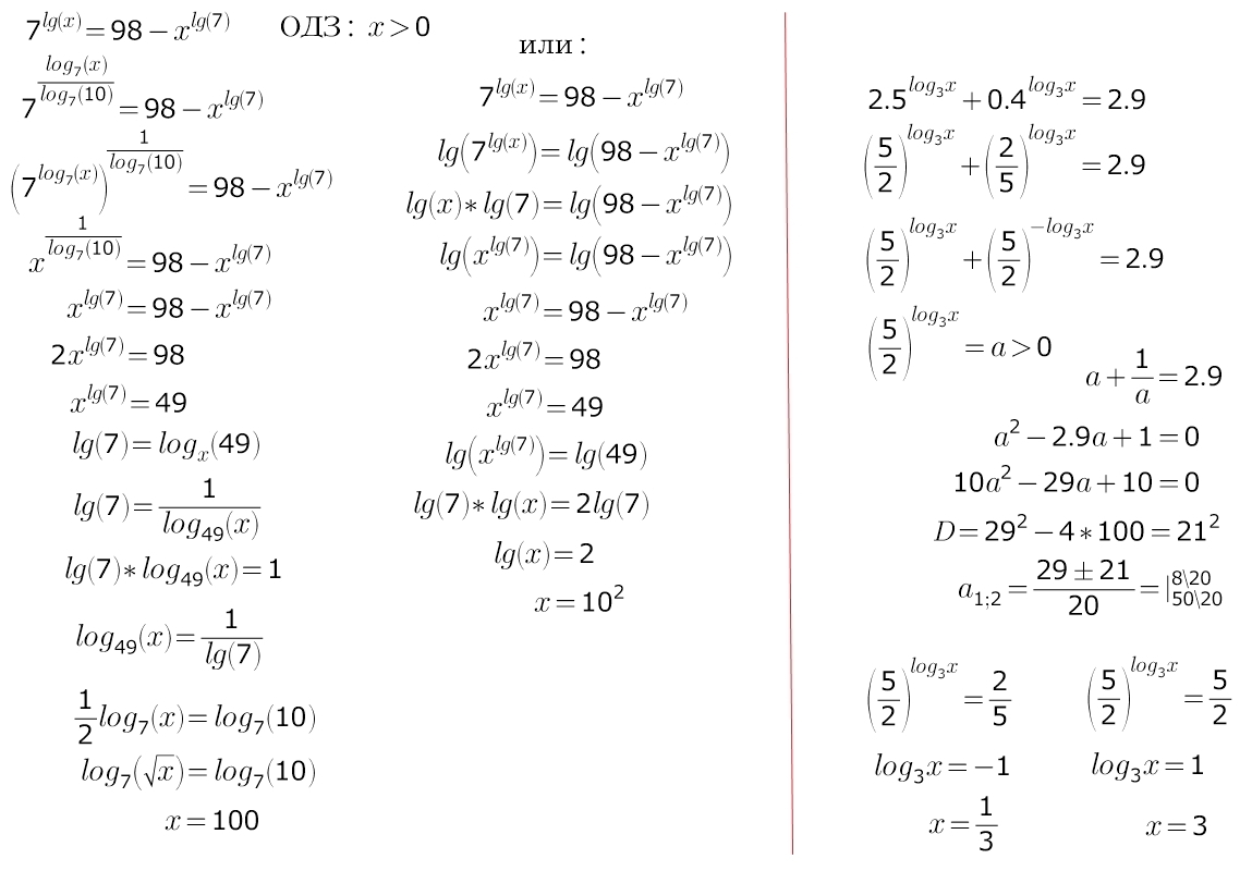
Решить логарифмы пожалуйста
Приложения:
Ответы
Автор ответа:
0
3. можно прологарифмировать обе части равенства...
4. пригодится формула суммы бесконечно убывающей геометрической прогрессии
5. сводится к квадратному уравнению... ОДЗ: x>0
4. пригодится формула суммы бесконечно убывающей геометрической прогрессии
5. сводится к квадратному уравнению... ОДЗ: x>0
Приложения:
Похожие вопросы
Предмет: Информатика,
автор: reyx3
Предмет: Математика,
автор: maksdaniel024
Предмет: Қазақ тiлi,
автор: Aishaexeshka
Предмет: Алгебра,
автор: Креветка186
Предмет: Математика,
автор: таня148