Предмет: Алгебра,
автор: Аноним
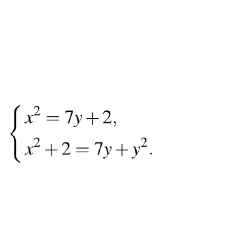
Помогите пожалуйста решить систему уравнений!!!!!!
Приложения:
Ответы
Автор ответа:
0
1) из второго ур-я перенести 2 в другую часть и получится и в одном ур-и х^2 и в другом х^2
2)теперь можно приравнять правые части и получается 7у+2=7у+у^2-2
у^2=4
у=+-2
4) при у=2 х= +-4 при у=-2 х не существует
Ответ:(4;2) , (-4;2)
2)теперь можно приравнять правые части и получается 7у+2=7у+у^2-2
у^2=4
у=+-2
4) при у=2 х= +-4 при у=-2 х не существует
Ответ:(4;2) , (-4;2)
Автор ответа:
0
Ой
Автор ответа:
0
Да
Похожие вопросы
Предмет: Геометрия,
автор: Mari232Ак
Предмет: Русский язык,
автор: do20mi08nika
Предмет: Французский язык,
автор: demenevaeka
Предмет: История,
автор: кристл1
Предмет: Геометрия,
автор: pvapavapvapavp