Предмет: Алгебра,
автор: fkji
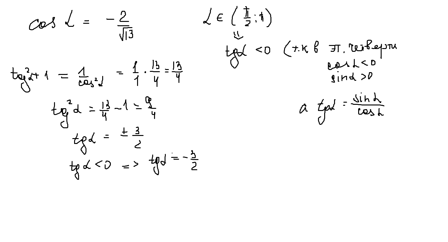
найдите tga если cos a -2/корень из 13 и a принадлежит (0.5П: П)
Ответы
Автор ответа:
0
Ответ приложен в виде фотографии
Приложения:
Похожие вопросы
Предмет: Русский язык,
автор: banovasashq
Предмет: Математика,
автор: ilamarincuk
Предмет: Литература,
автор: Vlad22304
Предмет: Математика,
автор: milanamilu9
Предмет: Математика,
автор: Altynay123