Предмет: Алгебра,
автор: 380963348053
ПОМОГИТЕ СРОЧНО! Пожалуйста!
Приложения:
Ответы
Автор ответа:
0
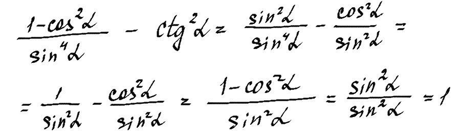
Решение в прикрепленном файле.
Приложения:
Похожие вопросы
Предмет: Музыка,
автор: sayonaragirl70
Предмет: Беларуская мова,
автор: narutoxsasukexsakura
Предмет: Русский язык,
автор: hlycyf
Предмет: Алгебра,
автор: pkekkeke
Предмет: История,
автор: seniorvalawin