Предмет: Математика,
автор: Rainpop
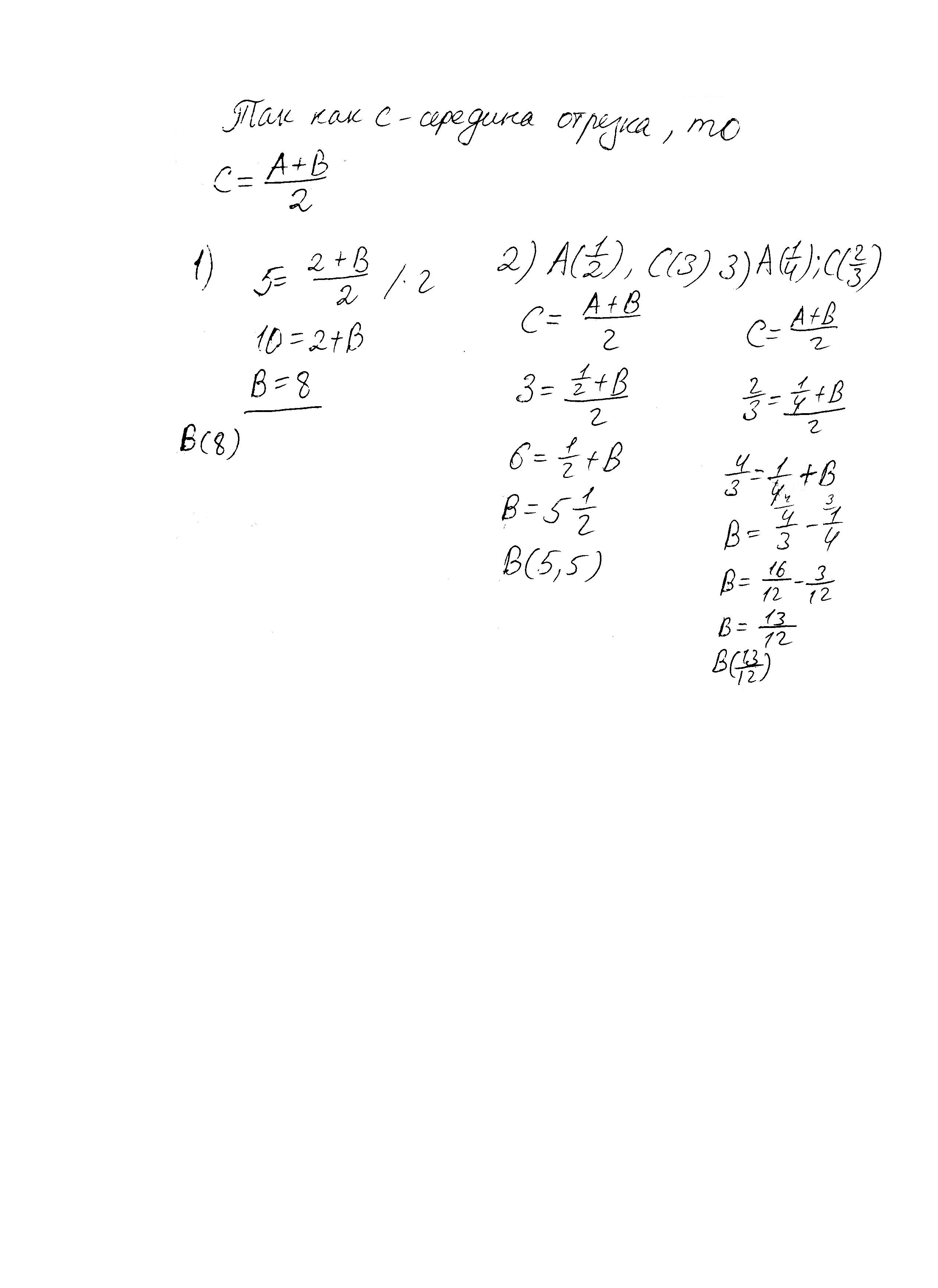
Найдите координату точек B по координатам точки A и C , если точка C- середина отрезка АB.
1) А(2), С(5)
2) А( 1/2) ,С(3)
3) А ( 1/4),C(2/3)
Ответы
Автор ответа:
0
Решение в приложении.
Приложения:
Похожие вопросы
Предмет: Математика,
автор: kupranovasvetlana34
Предмет: Химия,
автор: kairbolatkyzyaikon
Предмет: География,
автор: Аноним
Предмет: Литература,
автор: imbohook874
Предмет: Математика,
автор: salamil