Предмет: Алгебра, автор: aizhanbaizhanova

решить задание пожалуста

Приложения:

Ответы

Автор ответа: anarmetova
0
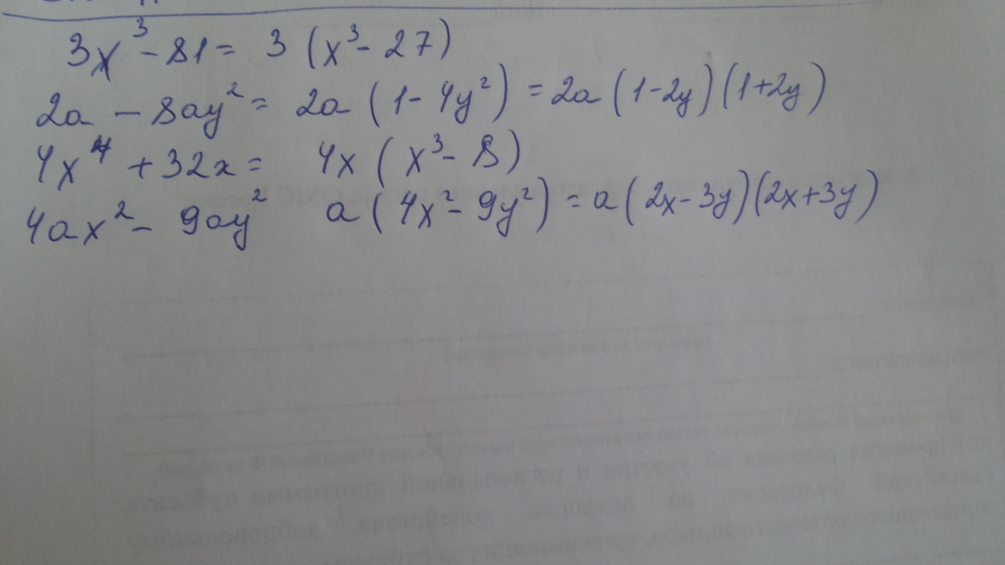
Решения задания.................................
Приложения:
Автор ответа: aizhanbaizhanova
0
спасибо
Похожие вопросы
Предмет: Русский язык, автор: dimatvtankov228
Предмет: Қазақ тiлi, автор: azizazurdunova
1-тапсырма
Оқылым
Мәтінді мұқият оқып, төмендегі тапсырмаларды орындаңыз.
Кең байтақ қазақ жерінің бір бөлігі - Сарыарқа. Сарыарқа Қазақстанның ұлан-ғайыр жерін алып жатыр. Арқадай кең көсіліп жатқан сары дала қайталанбас тамылжыған табиғатымен тамсандырады. Сарыарқаның төсінде соғатын самал жел есіп қоя бергенде, өзіңді тамаша күйде сезінесің. Сары даланың самал желі ғана емес, табиғатының өзі керемет. Мұнда тұңғиық көлдерді, асау өзендерді, аласа тауларды, сарғайған сары шөптерді, жазық даланы көруге болады. Табиғат адам жанына жылулық, сұлулық өміріне мән сыйлайды.Таңғажайып табиғаты көңіліне бір реніш түсірмейді. Сонау Сарыарқадай сары даладан елін жаудан қорғаған, жұртына қорған болған батырларымыз да шыққан. Сарыарқаның асыл тумалары, сонау Абылай заманындағы Бұқар жырау, Қаз дауысты Қазыбек, ақындар Шөже, Шашубай, Доскей, жазушы С.Сейфуллин және ақын Қ.Аманжолов, композиторлар Тәттімбет, Мәди, Ұлы Отан соғысының қаһарманы Н.Әбдіров, ғалымдар А.Чижевский және Е.Бөкетов, қазақтың тұңғыш ғарышкері Т.Әубәкіров сияқты атақты адамдар Сарыарқаның атын шығарған. (127 сөз)
1. Кең байтақ қазақ жерінің бір бөлігі не?
_______________________________________________________________________________________________________________________________________________________
Предмет: Биология, автор: tolstousovdzejhun
Предмет: Математика, автор: valovavalova2011