Предмет: Математика,
автор: shmatkov
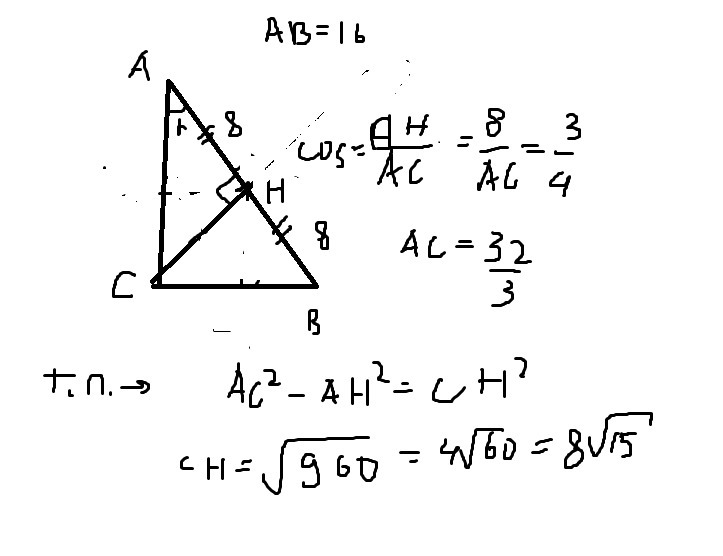
В треугольнике abc угол c=90,ch-высота, ab=16,cosA=3/4.Найдите AH.
Ответы
Автор ответа:
0
1111111111111111111 может CH?
Приложения:
Похожие вопросы
Предмет: Физика,
автор: nka1000
Предмет: Қазақ тiлi,
автор: PolzvatelVK
Предмет: Алгебра,
автор: kbulavkin5
Предмет: Алгебра,
автор: syrbu59
Предмет: Литература,
автор: vaninaksenia73