Предмет: Физика,
автор: TiTaN4iG
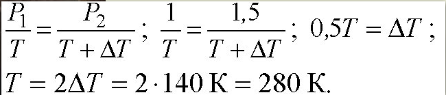
При какой температуре находился газ в закрытом сосуде, если при его нагревании на T = 300 К давление возросло в 1,5 раза?
Ответы
Автор ответа:
0
пожалуйста, наслаждайся решением)
Приложения:
Похожие вопросы
Предмет: Қазақ тiлi,
автор: Аноним
Предмет: География,
автор: sarapinamasha
Предмет: Қазақ тiлi,
автор: Toha1254
Предмет: Геометрия,
автор: Анастасия137
Предмет: Математика,
автор: ЛенаАндрюша