Предмет: Математика,
автор: karinaKisska
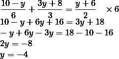
решите уравнение:10-у/6+3у+8/3=у+6/2
Ответы
Автор ответа:
0
Приложения:
Автор ответа:
0
Ответ ответ ответ ответ ответ ответ
Приложения:
Похожие вопросы
Предмет: Обществознание,
автор: dmitrosemenuk797
Предмет: Физика,
автор: Vladharitonov46
Предмет: Математика,
автор: Аноним
Предмет: История,
автор: ZnenyaKaznacheva
Предмет: Математика,
автор: elenayarkaeva