Предмет: Алгебра,
автор: FlamenFoxx
Разложите на множители.
Приложения:
Ответы
Автор ответа:
0
Решение
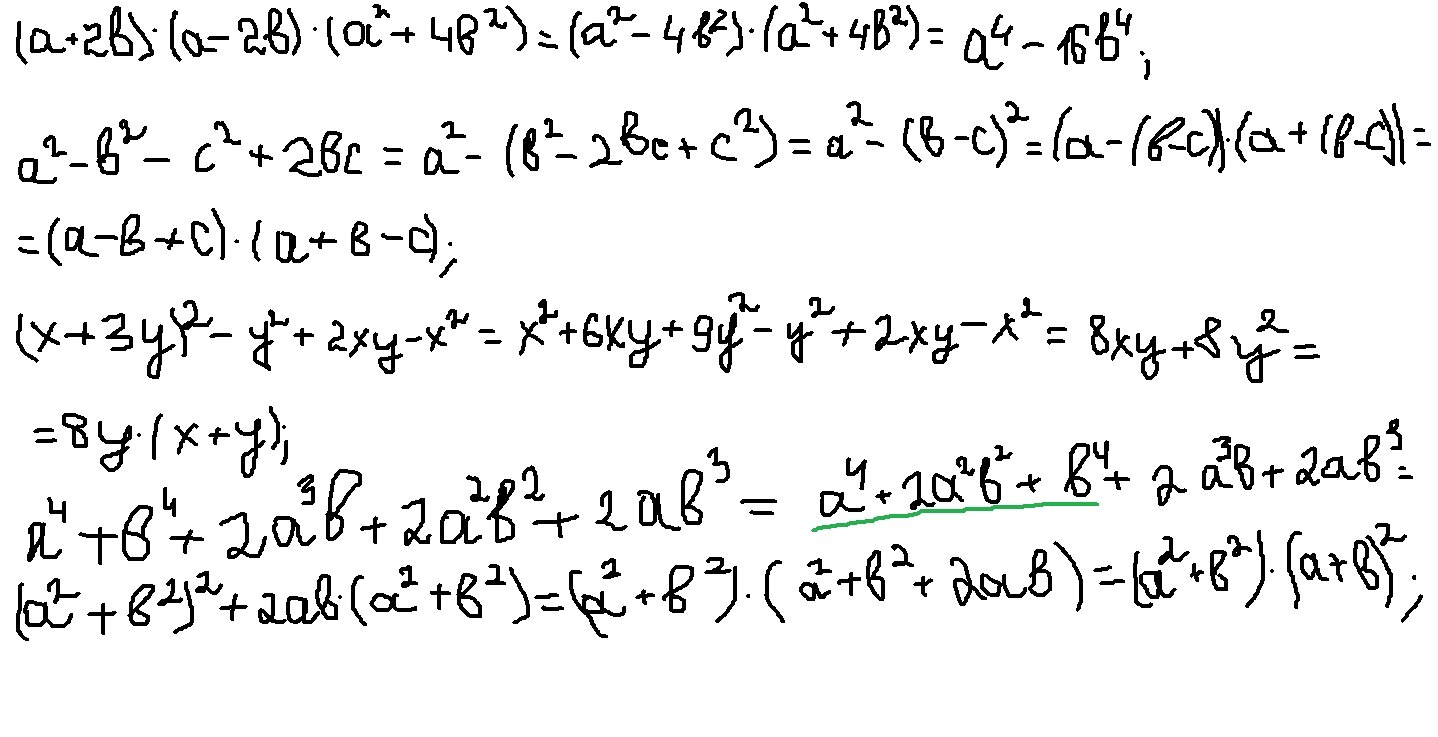
1) (a + 2b)*(a - 2b)*(a² + 4b²) = (a² - 4b²)*(a² + 4b²) = a⁴ - 16b⁴
2) a² - b² - c² + 2bc = a² - (b² - 2bc + c²) = a² - (b - c )² ==
= (a - b + c)*(a + b - c)
3) (x + 3y)² - y² + 2xy - x² = (x + 3y)² - (y² - 2xy + x²) =
= (x + 3y)² - (y - x)² = (x + 3y - y + x)*(x + 3y + y - x) =
= (2x + 2y)*4y = (x + y)*8*y
4) a⁴ + b⁴ + 2a³b + 2a²b² + 2ab³ = (a⁴ + 2a²b² + b⁴) + 2ab*(a² + b²) =
= (a² + b²)² + 2ab*(a² + b²) = (a² + b²)*(a² + b² + 2ab) = (a² + b²)*(a + b)² =
= (a² + b²)*(a + b)*(a + b)
5) Решить уравнение:
(3 + x)² + (5 - 2x)*(5 + 2x) - 3*(5 - x²) = 1
9 + 6x + x² + 25 - 4x² - 15 + 3x² = 1
6x = 18
x = 3
1) (a + 2b)*(a - 2b)*(a² + 4b²) = (a² - 4b²)*(a² + 4b²) = a⁴ - 16b⁴
2) a² - b² - c² + 2bc = a² - (b² - 2bc + c²) = a² - (b - c )² ==
= (a - b + c)*(a + b - c)
3) (x + 3y)² - y² + 2xy - x² = (x + 3y)² - (y² - 2xy + x²) =
= (x + 3y)² - (y - x)² = (x + 3y - y + x)*(x + 3y + y - x) =
= (2x + 2y)*4y = (x + y)*8*y
4) a⁴ + b⁴ + 2a³b + 2a²b² + 2ab³ = (a⁴ + 2a²b² + b⁴) + 2ab*(a² + b²) =
= (a² + b²)² + 2ab*(a² + b²) = (a² + b²)*(a² + b² + 2ab) = (a² + b²)*(a + b)² =
= (a² + b²)*(a + b)*(a + b)
5) Решить уравнение:
(3 + x)² + (5 - 2x)*(5 + 2x) - 3*(5 - x²) = 1
9 + 6x + x² + 25 - 4x² - 15 + 3x² = 1
6x = 18
x = 3
Автор ответа:
0
ответ смотри на фото снизу
Приложения:
Похожие вопросы
Предмет: Математика,
автор: fedartur10
Предмет: Литература,
автор: klient181219k
Предмет: География,
автор: zuuu9600
Предмет: Биология,
автор: PupilNeedYourHelp
Предмет: Алгебра,
автор: Санлайт