Предмет: Математика,
автор: Lol1331
Помогите! За правильный ответ дам 10б и заранее спасибо большое!!!!
Приложения:
Ответы
Автор ответа:
0
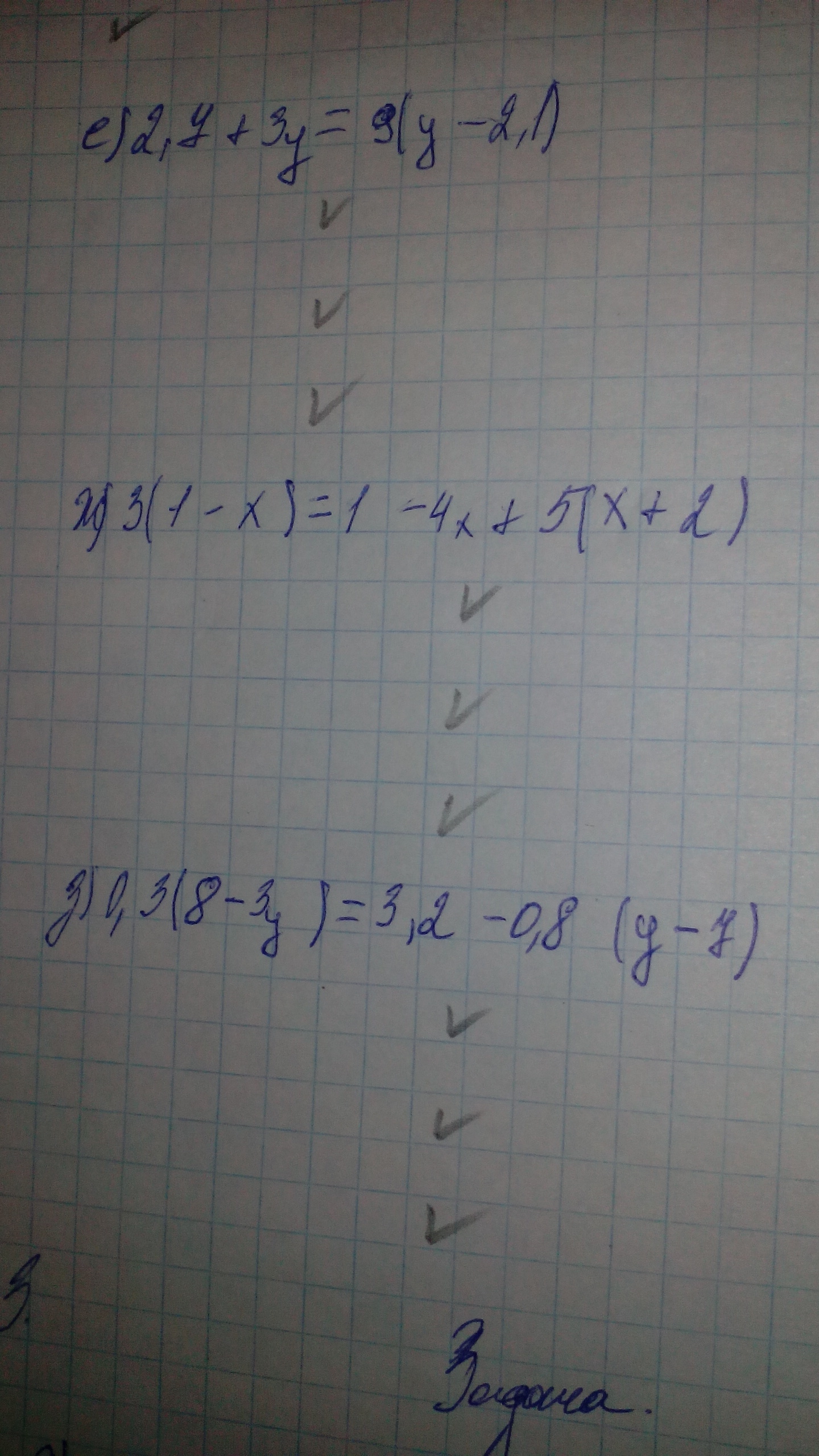
12,7+3у=9у-18,9
21,6=6у
у=3,6
21,6=6у
у=3,6
Автор ответа:
0
-16=2х
Автор ответа:
0
х=-8
Автор ответа:
0
-6,4=0,1у
Похожие вопросы
Предмет: Информатика,
автор: janahmet8686
Предмет: Литература,
автор: mashabudantseva
Предмет: Русский язык,
автор: Аноним
Предмет: Физика,
автор: camel764